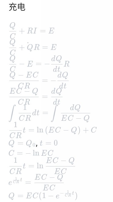
物理 〔栖岸计划〕电学大专题
等一下,泊。淞为什么是敏感词
$\text{Laplace's formula} \nabla^2 \varphi = 0 \quad (\text{空间中无自由电荷}))$
$\text{泊,,松方程} $
$\nabla^2 \varphi = \frac{\rho}{\varepsilon_0} \quad (\text{空间中有自由电荷}) $
$\Rightarrow \text{拉普拉斯方程(二级推导)} $
$1\text{维}: \quad \frac{d^2\varphi}{dx^2} = 0$
$\text{characteristic roots: } \varphi(x) = ax + b $
$2\text{维}: \quad \frac{\partial^2\varphi}{\partial x^2} + \frac{\partial^2\varphi}{\partial y^2} = 0 \quad (\text{显而易见}) $
$3\text{维(全微分形式)}: \quad \varphi(x,y) = \frac{1}{2\pi R} \int \varphi \, dl $
$\text{三维} \quad \varphi(r) = \frac{1}{4\pi r^2} \int \varphi \, ds $
$\text{那么我们有} $
$\text{当 } \nabla^2 \varphi = \frac{\rho}{\varepsilon_0} $
$\nabla \varphi = E_0 \, ds = \frac{\rho}{\varepsilon_0} \quad (\text{Gauss's formula}) $
$\text{我们知道:电势梯度即为通量。} $
$\text{分离变量法} $
$\text{Tips: } P_n^m(\cos\theta) \left[ \text{Legendre's formula} \right] $
$f(x) = \frac{1}{\sqrt{1 - 2x\cos\theta + x^2}} \quad \text{勒让德公式} $
$0\text{阶 } P_0(x) = 1 $
$1\text{阶 } P_1(x) = \cos\theta \cdot x 4$
$2\text{阶 } P_2(x) = (3\cos^2\theta - 1)/2 \cdot x $
$3\text{阶 } P_3(x) = -3\cos\theta + 5\cos^3\theta / 2 \cdot x $
$\text{如何要引出勒让德公式。} $
$\text{我们先将由 } x,y,z \text{ 转球坐标 } (r,\theta,\varphi) $
$\text{方位角要分离变量} $
$\varphi(r,\theta,\varphi) = \sum_{n,m} \left( a_{nm} r^n + \frac{b_{nm}}{r^{n+1}} \right) P_n^m(\cos\theta) \cos m\varphi $
$+ \sum_{n,m} \left( c_{nm} r^n + \frac{d_{nm}}{r^{n+1}} \right) P_n^m(\cos\theta) \sin m\varphi $
$\text{例题:给一道经典题(用泊松解)} $
$\text{一接地导体球在均匀强场中产生感应电荷密度。} $
$\text{试外 } \varphi_1, \text{ 球内 } \varphi_2 $
$\varphi_1 = \sum_n \left( a_n r^n + \frac{b_n}{r^{n+1}} \right) P_n(\cos\theta) $
$\text{边界条件 } E_0 \text{ 无源,无穷远处 } E \to E_0 $
$\varphi_1 = -E_0 R \cos\theta \quad \text{或取} $
$\varphi_1 = -E_0 R \cos\theta + \sum_n \frac{b_n}{R_0^{n+1}} P_n(\cos\theta) $
$\varphi_2 = \sum_n \left( c_n r^n + \frac{d_n}{r^{n+1}} \right) P_n(\cos\theta) $
$\text{联立边界 } r = R_0 \text{ 时} $
$\varphi_1 = \varphi_2, \quad \frac{\partial \varphi_1}{\partial R} = \frac{\partial \varphi_2}{\partial R} $
$\text{当 } R=0 \text{ 为使 } \varphi_2 \text{ 不发散且有限值} $
$d_n = 0 $
$\text{则有} $
$P_1(\cos\theta) \left( -E_0 R \cos\theta + \sum_n \frac{b_n}{R_0^{n+1}} P_n(\cos\theta) \right) = \sum_n (c_n r^n) P_n(\cos\theta) \quad (1.2) $
$\frac{\partial \varphi_1}{\partial R} = -E_0 P_1(\cos\theta) + \sum_n \frac{(n+1)b_n}{R_0^{n+2}} P_n(\cos\theta) $
$\frac{\partial \varphi_2}{\partial R} = \sum_n n c_n r^{n-1} P_n(\cos\theta) $
$-E_0 P_1(\cos\theta) + \sum_n \frac{(n+1)b_n}{R_0^{n+2}} P_n(\cos\theta) = \sum_n n c_n R^{n-1} P_n(\cos\theta) \quad (1.3) $
$(1.2)(1.3) \text{比较系数} $
$\text{当 } n=1 \text{时} $
$-E_0 R_0 + \frac{b_1}{R_0^2} = c_1 R_0 $
$-E_0 + \frac{2b_1}{R_0^3} = c_1$
$\text{解出 } b_1 = E_0 R_0^3, \quad c_1 = -E_0 $
$\varphi_1 = -E_0 R \cos\theta + \frac{E_0 R_0^3 \cos\theta}{R^2} \quad (\text{球外})$
$\varphi_2 = -E_0 R \cos\theta \quad (\text{球内}) = 0 \quad (\text{不讨论导体球}) $
$\sigma=-\varepsilon_0\left \frac{\partial\varphi}{\partial R}\right|_{R=R_0^-}=\left[ E_0\cos\theta+\frac{E_0R_0^3\cos\theta}{R^3}×2]\right{R=R_0}$
$= 3\varepsilon_0 E_0 \cos\theta $
$\text{即得}$





