❴栖岸计划❵暂态电路合集

物理
❴栖岸计划❵暂态电路合集

用户头像
一位爱刷舒力的物竞生 更新于2026-4-16 12:25:13

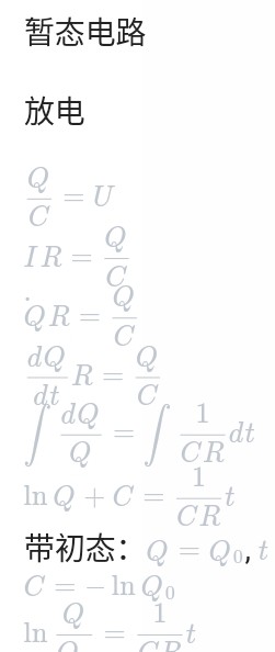
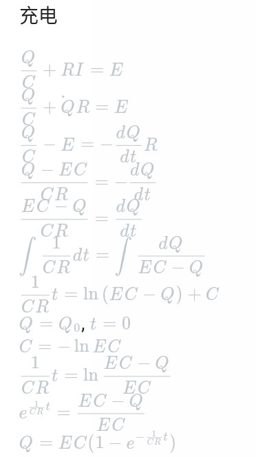
自己不想打LaTeX,就让AI代劳了,它打得比我好。。


IMG_20260415_212222_1.jpg


Screenshot_2026-04-16-17-57-23-755_1.jpg

Screenshot_2026-04-16-17-57-52-088_1.jpg

Screenshot_2026-04-16-17-58-20-847_1.jpg

收起
5
5
共0条回复
时间正序
回复是交流的起点,交流让学竞赛不孤单