物理 一些自认为普物书上为解释释清楚的“显然”
更新了!!如果需要相变潜热知识补充的话,可以提意见
钟光关于光线方程的推导
下图,我们发现他在1.35~1.36的证明并不完备
秉持着物理的探索精神,我们还是给它手搓推一下
我们先讨论左式$\frac{d(\frac{dy}{dx})^2}{dx} = 2\frac{dy}{dx} \frac{d^2y}{dx^2}$ (1.1)
再讨论右式

(1.2)
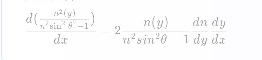
联立(1.2)(1.3),消元$\frac{d^2y}{dx^2}=\frac{n(y)}{n^2\sin^2 \theta -1} \frac{dn}{dy}$ (1.3)
用链式法则将$n(y)$消去
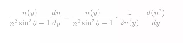
分析(1.3)右式

即(1.3)右式$\frac{d^2y}{dx^2}=\frac{1}{2n^2{\sin^2 \theta }-1} \frac{d n^2}{dy}$



符合最后推导
下一位,克拉泊龙方程,下面推导中$p~T~V~L$分别为压强温度体积和相变潜热
$\frac{dp}{dT}=\frac{L}{TV}$
列出$Vdp=\frac{LdT}{T}$
还差一个未知数$p$,我们又知道$V=\frac{\mu RT}{p}$
$\frac{\mu Rdp}{p}=\frac{LdT}{T}$
$\int \frac{dp}{p}=\frac{L}{\mu R}\int \frac{dT}{T^2}$
$lnp=\frac{L}{\mu R}\frac{1}{T}$
这里我们要引入一个概念,因为我们是微分讨论的,所以我们这里姑且认为它的摩尔数$mu $为单位一
我也找不到更好的解释了,如果大家有更严谨的解释,可以发在评论区,我会采纳
$p=Ae^{\frac{L}{R}\frac{1}{T}}$
解出常数,当$T=T_0$时,$p=p_0$ $p_0=Ae^{\frac{1}{R}\frac{1}{T_0}}$
$A=p_0 e^{-\frac{1}{R}\frac{1}{T_0}}$
带入$p=p_0 e^{\frac{L}{R}(\frac{1}{T}-\frac{1}{T_0})}$
就是我们克拉泊龙的二级推论