拉格朗日方程,告别损童年的受力分...

物理
拉格朗日方程,告别损童年的受力分析!

用户头像
怪盜ネコちゃん 更新于2026-3-10 13:33:50

贴主做力学题目受力分析快累死了,学习了拉格朗日方程之后直接秽土转生!

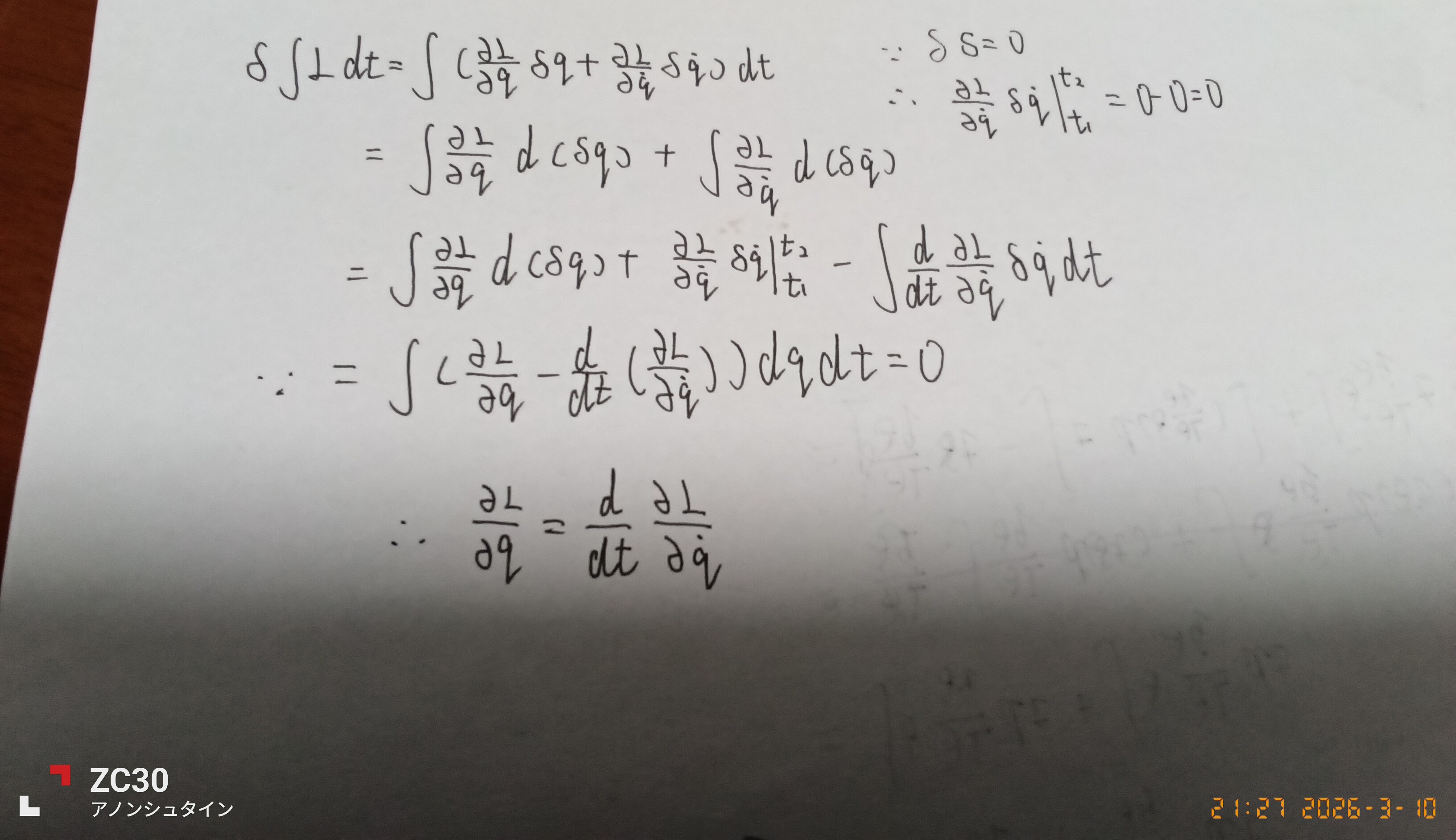
首先,拉格朗日方程的原理是最小作用(业)量原理:

$\Huge{ δ \int L dt = 0 }$

然后代入变分就可以了

拥有这个方程,妈妈在也不怕我不会受力分析了,只需要弄出动能和势能就可以了 

$\Huge{ L }$ = $\Huge{ K - U }$

具体过程:IMG_20260310_212704_1.jpg

近代物理
近代物理
收起
3
3
共0条回复
时间正序
回复是交流的起点,交流让学竞赛不孤单