物理 『O区臭水』第二期—————从均值不等式开始胡扯
正在施工🚧
(感谢@幸福健康 )
注:$Part1$和$Part2$是相对独立的两部分,两者没有重叠的内容或是递进的关系,可分开使用
唯一的关联可能就是与均值不等式有关
为什么不分成两个帖呢,当然是$\sout{主包懒}$主包想让你们一次性吃多点啊
$Part1$
均值不等式
$\frac{a_1+a_2+…+a_n}{n}\ge\sqrt[n]{a_1a_1…a_n}$,当且仅当$a_1=a_2=…=a_n$时取等
关于这个不等式的证法,仅仅是小蓝本上就介绍了12种之多(想看的我在评论区发)
(一般来说重要的定理证法就会多一些,这让主包想到了某二次互反律和某勾股定理)
主包今天给出两种不一样的,用$y=e^x$在$x=0$和$x=1$处的两条切线来证
1.利用一个高中常见的不等式$e^x\ge x+1$(可以泰勒展开取前两项,也可以是$y=e^x$在$x=0$处的导函数值为1而得出)
若设$A=\frac{a_1+a_2+…+a_n}{n},G=\sqrt[n]{a_1a_1…a_n}$.
于是
$e^{\frac{a_1}{A}-1}\ge1+(\frac{a_1}{A}-1)$
$e^{\frac{a_2}{A}-1}\ge1+(\frac{a_2}{A}-1)$
…
$e^{\frac{a_n}{A}-1}\ge1+(\frac{a_n}{A}-1)$
$n$式相乘得$e^{\frac{a_1+a_2+…+a_n}{n}}\ge\frac{G^n}{A^n}$
即$A^n\ge G^n$
2.$y=e^x$在$x=1$处的导数值为$e$,有$e^x\ge e(x-1)+e=ex$
设$G=\sqrt[n]{a_1a_1…a_n}$
则$e^{\frac{a_1+a_2+…+a_n}{G}}=e^{\frac{a_1}{G}}\cdot e^{\frac{a_2}{G}}\cdot…\cdot e^{\frac{a_n}{G}}\ge\frac{ea_1}{G}\cdot\frac{ea_2}{G}\cdot…\cdot\frac{ea_n}{G}=e^n$
即$\frac{a_1+a_2+…+a_n}{n}\ge\sqrt[n]{a_1a_1…a_n}$
其实第一种证法很容易挪作他用
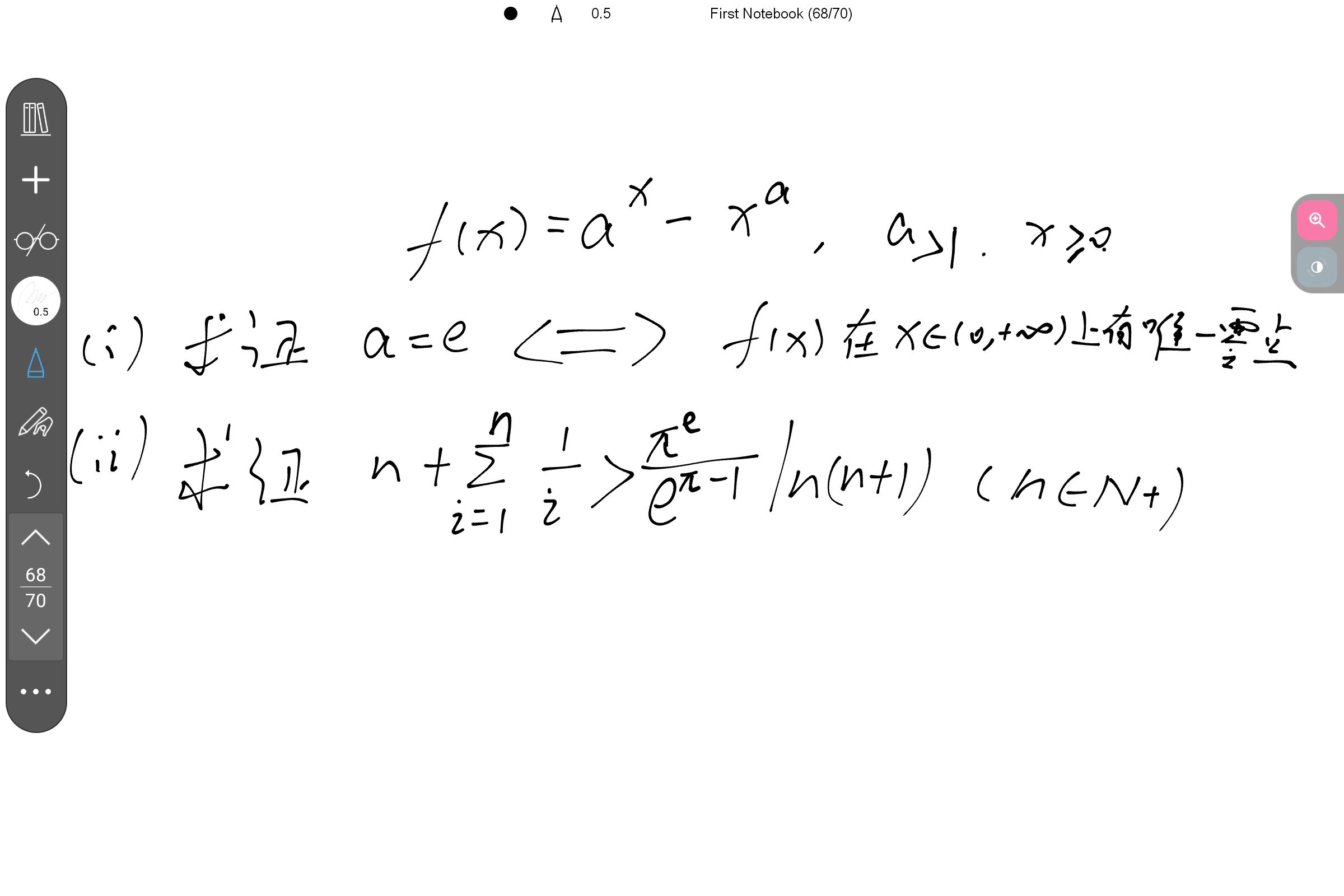
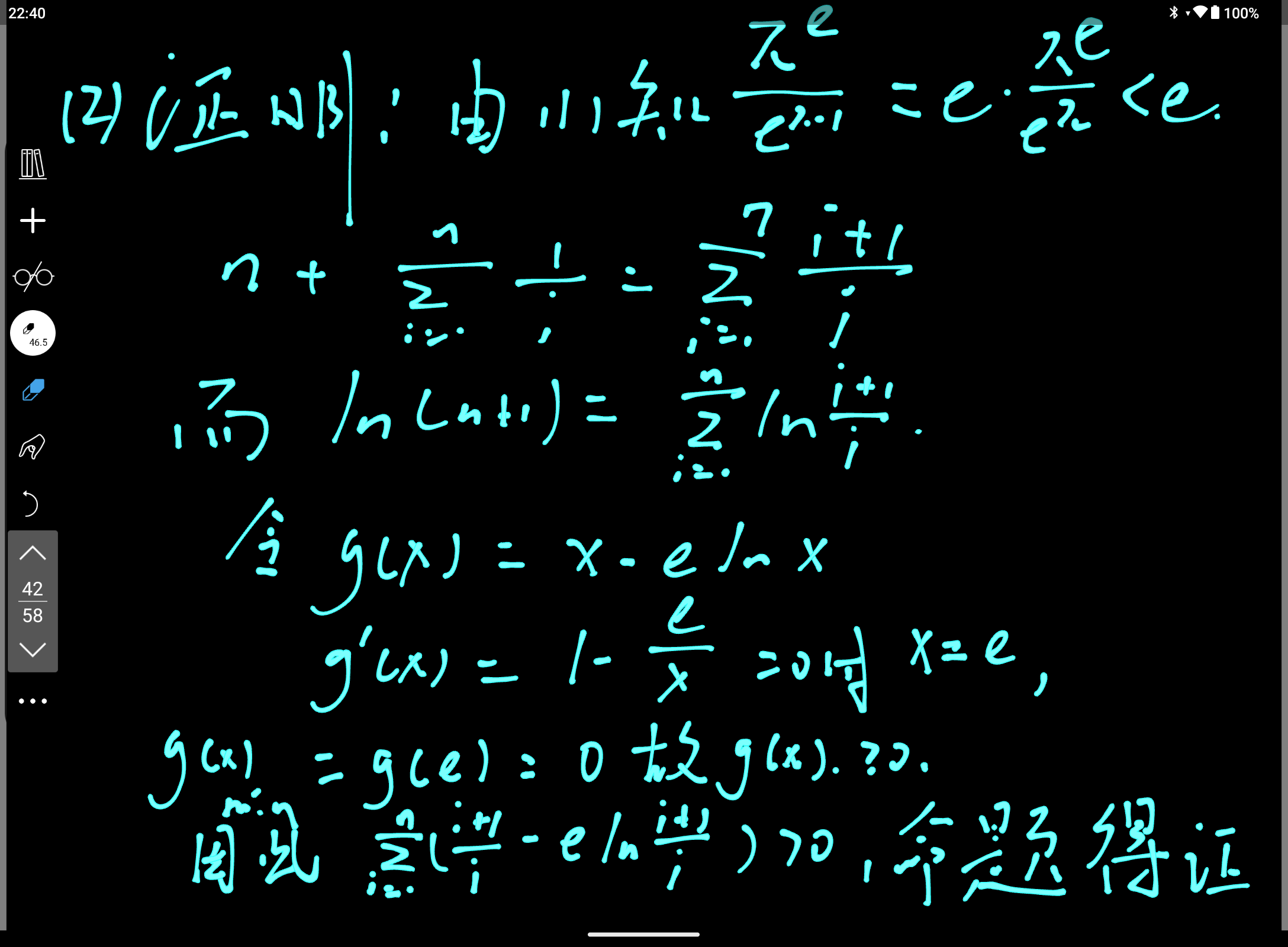
譬如在$e^x\ge x+1$中,令$x=\frac{\pi}{e}-1$,则可以得出$e^{\pi}$>${\pi}^e$
这道题第二问就要用这个结论


$Part2$
下是均值不等式的一个亲戚,也可以算作它的一部分
$\sqrt{\frac{{a_1}^2+{a_2}^2+…+{a_n}^2}{n}}\ge\frac{a_1+a_2+…+a_n}{n}$(算数平方平均不等式)
下面也是一种独特的证明思路
把它两边平方之后转化为证明
$D=n\sum_{i=1}^n{a_i}^2-(\sum_{i=1}^na_i)(\sum_{j=1}^na_j)\ge0$
下面为手写(有谁教我怎么打行列式啊😯)







