一个提问帖

物理
一个提问帖

用户头像
[NOX] 更新于2026-3-3 07:17:34

有没有佬帮忙看看这题

IMG_20260303_151513.jpg


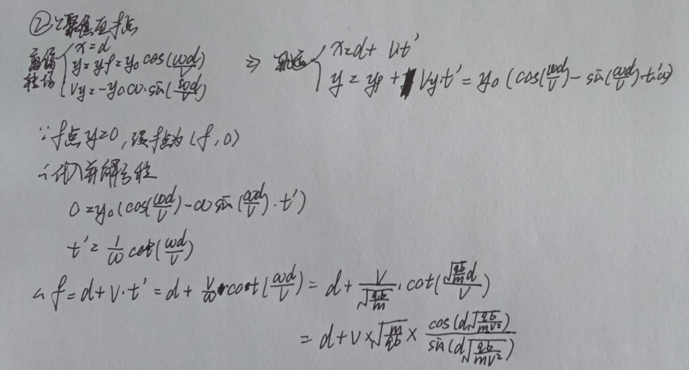
这是我做的,(1)在前面

IMG_20260303_151529.jpg

IMG_20260303_151532.jpg

收起
2
0
共2条回复
时间正序
用户头像
[NOX]
11小时前
在线等,急
用户头像
Asukasuka
10小时前

没近似 电场宽度是小量 其它的没细看

这种题最好别严格写再近似 直接算y方向电场力冲量用动量定理算出y方向动量改变量除以原动量就行 偏移角反正小量

4条评论
用户头像
Asukasuka
10小时前
第二问也不用这么麻烦 直接入射y坐标除以tanθ再加上二分之d就行
用户头像
[NOX]
9小时前

懂了,谢谢佬

这题能不能像我这么用简谐振动啊😯

用户头像
Asukasuka 回复 [NOX]
9小时前

不是佬(

可以的 如果没有近似条件就要你这么写 你这个更普遍

只是这题有近似 你的答案近似完就理应是正确答案

我说的方法是利用这个近似的物理意义写得更快一点 但没近似就用不了了

用户头像
[NOX] 回复 Asukasuka
5小时前

OK👍