物理 『栖岸计划』再谈导数------物理学下的高等数学(基础)
“周而复始,不休”
在高一物理之中,我们都学过瞬时速度与平均速度。平均速度用vt图像非常好表示。

以上是平均速度的表示,即直线AB的斜率k,kAB。
那么瞬时速度呢?这里要提到一个旧的概念,切线。对,切线。那么有同学提出了问题:切线不是在圆才有的吗?而且曲线的运动轨迹也不是标准的圆弧啊。是的,但曲线与坐标轴上的某一条直线有且仅有一个交点的时候,我们定义其为曲线切线。好了,我们已经发现了导数。导数就是这条切线的斜率。

对于导数,给出如下标准定义:
曲线切线,过曲线$y=f(x)$上一点p做曲线的割线PQ,当Q沿着曲线无限趋近与p时,若割线PQ趋近于某一确定的直线PT,则这一确定的直线PT成为曲线$y=f(x)$在点P的切线。导数几何意义:函数$y=f(x)$,在$x=x_0$处的导数,就是曲线$y=f(x)$在$x=x_0$处切线的斜率。
即$k=\lim_{\Delta x \to 0} \frac{f(x_0 + \Delta x) - f(x_0)}{\Delta x} = f'(x_0) $,相应切线方程为$y-f(x_0)=f'(x_0)(x-x_0)$
那么让我们来看一道练习吧(别问题从哪来的)

看到题目后,对于一个导数初学者,自然不会做。这也套不了导数的公式啊!注意到导数的分子式左边有一个$\Delta x$,而右边没有,左式减去右式,正好剩下一个$\Delta x$,与分母上的一个$\Delta x$相约分。但此题左式没有$\Delta x$,右边有2个,共有0-(+2)=-2个$\Delta x$,并不能与分母约分。那我们将原式变成如下图

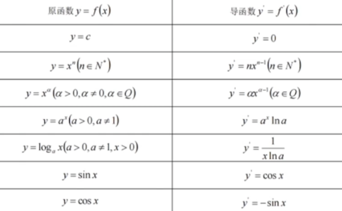
学完了什么是导数,那么如何求导呢。
这里给出几种常见的求导法则。
1.公式法,除背诵外别无他法。

2. 差、积、商法则
差法则(导数的线性性质):
$\( \frac{d}{dx}[f(x) - g(x)] = f'(x) - g'(x) \)$
和法则:
$\( \frac{d}{dx}[f(x) + g(x)] = f'(x) + g'(x) \)$
乘积法则:
$\[ \frac{d}{dx}[f(x)g(x)] = f'(x)g(x) + f(x)g'(x) \]$ 或写成:$\( (fg)' = f'g + fg' \)$
商法则:
$\[ \frac{d}{dx}\left[\frac{f(x)}{g(x)}\right] = \frac{f'(x)g(x) - f(x)g'(x)}{[g(x)]^2} \]$
或写成:$\( \left(\frac{f}{g}\right)' = \frac{f'g - fg'}{g^2} \)$
3. 链式法则
用于复合函数的求导。若$ \( y = f(g(x)) \)$,则:$\[ \frac{dy}{dx} = f'(g(x)) \cdot g'(x) \]$
或写成:$\( \frac{d}{dx}[f(g(x))] = f'(g(x)) \cdot g'(x) \)$
也可以用莱布尼茨记号表示为:$\[ \frac{dy}{dx} = \frac{dy}{du} \cdot \frac{du}{dx} \quad \text{其中 } u = g(x),\ y = f(u) \]$
