登录/注册
质心论坛
物理
数学
化学
生物
搜索记录
登录/注册
物理
数学
化学
生物
Common Modal dialog box title
『栖岸计划』理科答疑✨
物理
『栖岸计划』理科答疑✨
老疯子和疯子佬认为的新疯子LZ
更新于
2026-2-14 22:46:35
如题
答疑时长3天
内容:数物高中及竞赛(大学)内容;化生高考内容
如果我不会,请转
@是夏天fj
数竞内容(我不会的)可以考虑提问其他佬
就这样,期待各位到来
进行回复
5
分享
2
举报
删除
收起
收起
5
2
分享
举报
进行回复
共2条回复
时间正序
时间正序
时间倒序
评论最多
I夏大雨
6天前
2-15 01:14:47
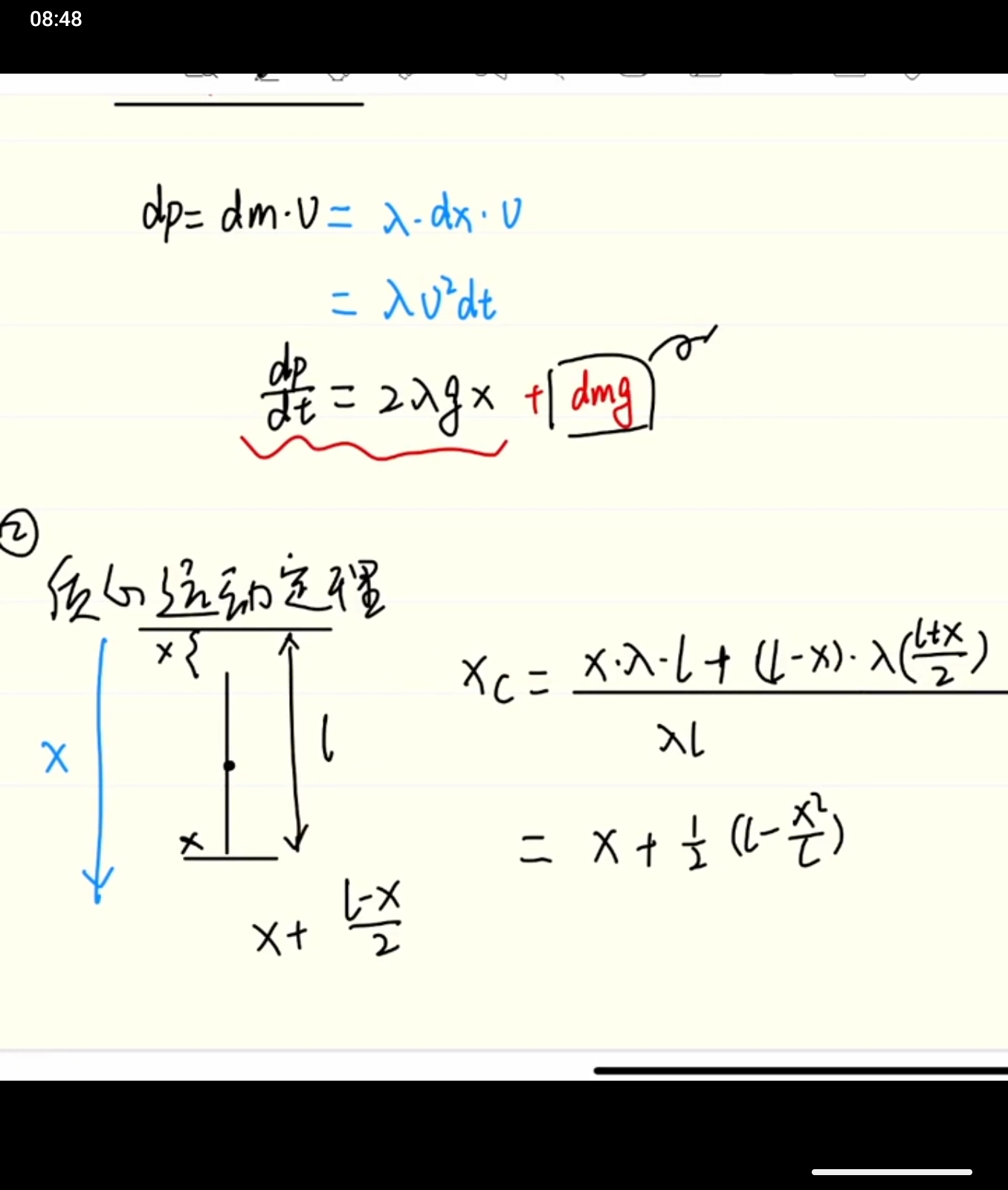
佬真是解我燃眉之急了,质心老师全放假了今天,这个题目有一个步骤是求绳子的质心,然后λ是单位绳长密度,绳子已经自由落体x的距离,绳子总长L,这里用的是Xc=X1m 1+X2m 2+X3m3 +X4m 4+…+Xnmn÷M总的那个公式,但为什么下面那一段在水平桌面上的质量要乘以L,然后在空中的这一段要乘以这么抽象的东西,(感觉我对这个公式理解不透彻,如果可以能不能讲一下这个公式在没有坐标系的情况下该怎么应用)
3
评论
收起评论
举报
删除
老疯子和疯子佬认为的新疯子LZ
3天前
2-17 13:33:56
@I夏大雨
5
评论
收起评论
举报
删除
提示
登录后才能进行此操作