整理杂记喵

物理
整理杂记喵

用户头像
ref:rain 更新于2026-2-11 15:00:23

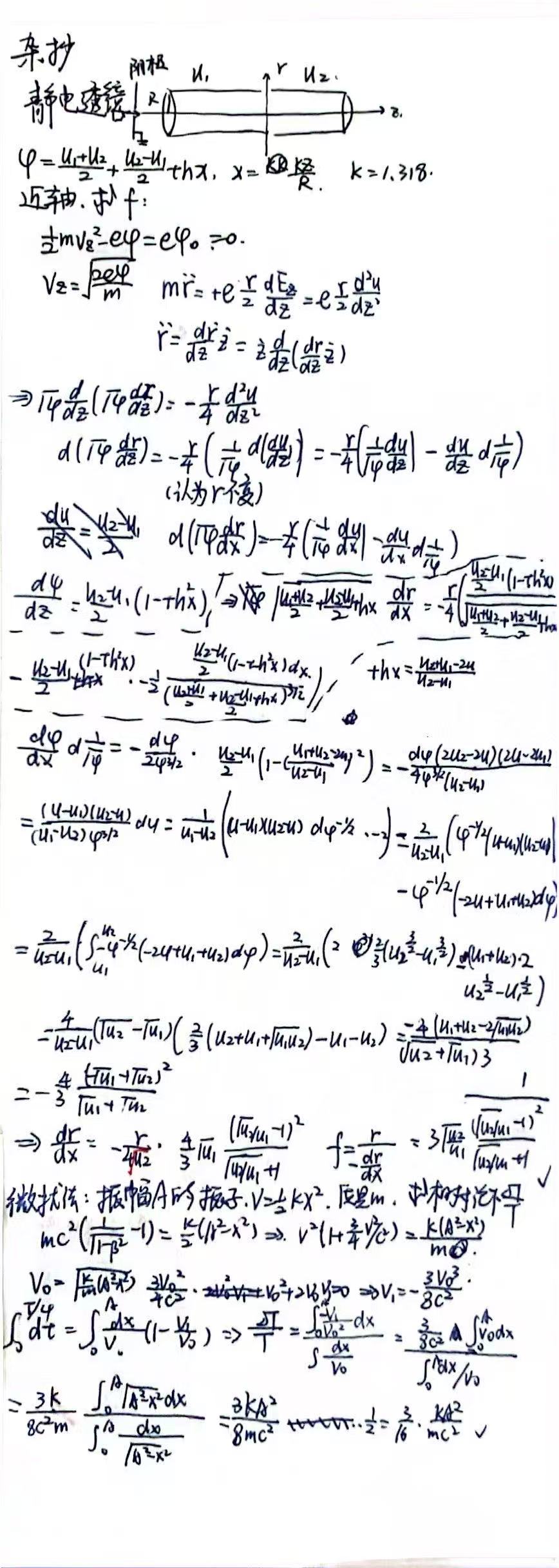
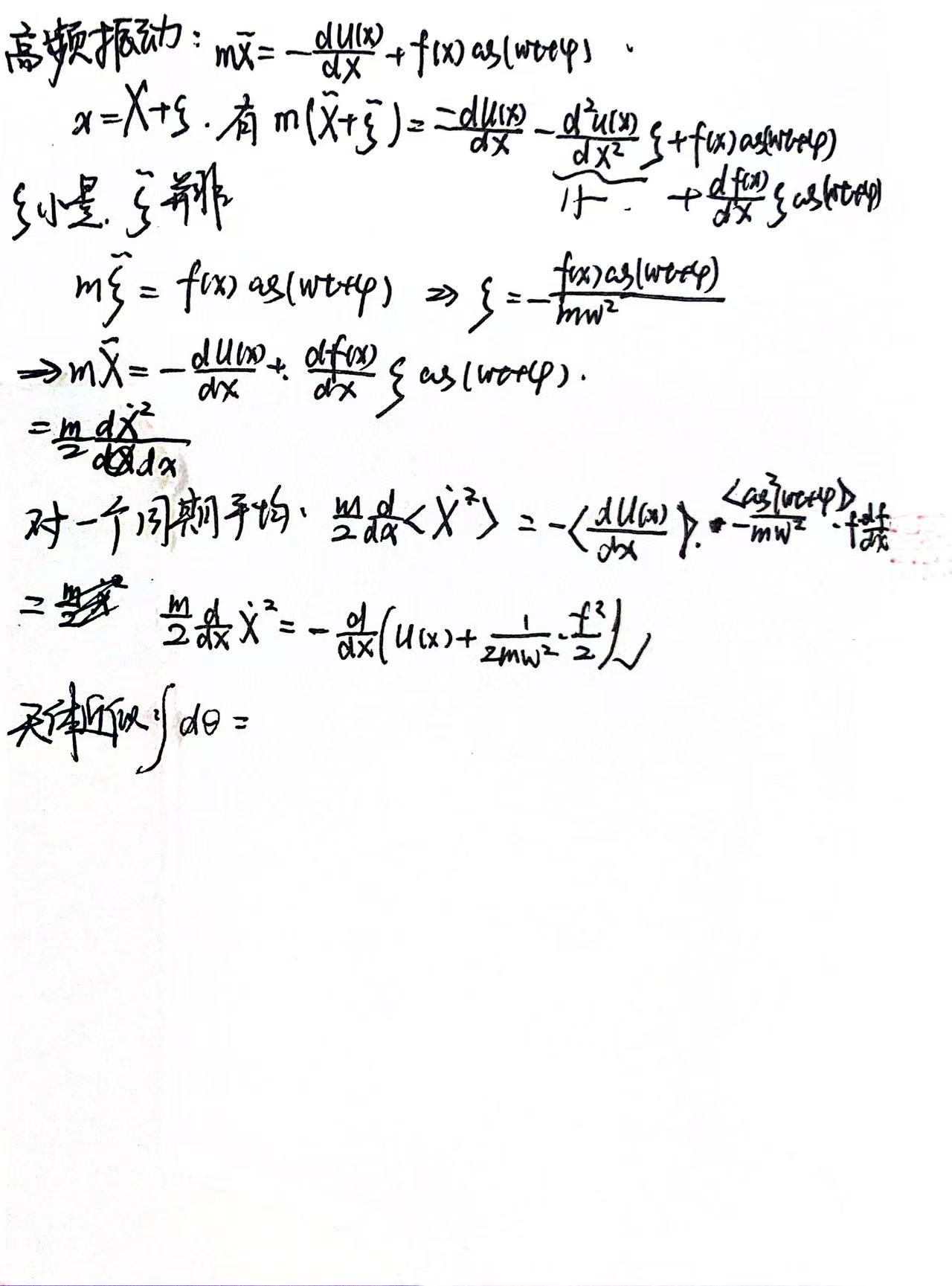
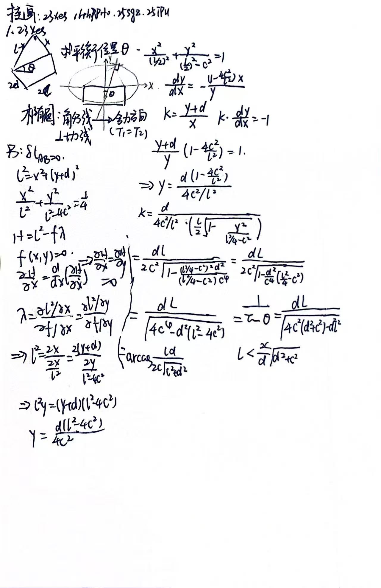
大家随便看看,因为我都是随便写的,然后都没写完但是懒得写了,快来看我的翻糖瞬间

WechatIMG65.jpgWechatIMG66.jpgWechatIMG67.jpg711770821562_.pic.jpg721770821564_.pic.jpg731770821565_.pic.jpg741770821570_.pic.jpg751770821572_.pic.jpg761770821573_.pic.jpg771770821574_.pic.jpg781770821576_.pic.jpg791770821578_.pic.jpg801770821579_.pic.jpg681770821557_.pic.jpg691770821558_.pic.jpg701770821561_.pic.jpg

收起
15
8
共0条回复
时间正序
回复是交流的起点,交流让学竞赛不孤单