原创高考导数题

物理
原创高考导数题

用户头像
爱5汉的数物(幸福健康) 更新于2026-2-11 15:17:19

Screenshot_2026-02-10-17-38-49-866.jpg

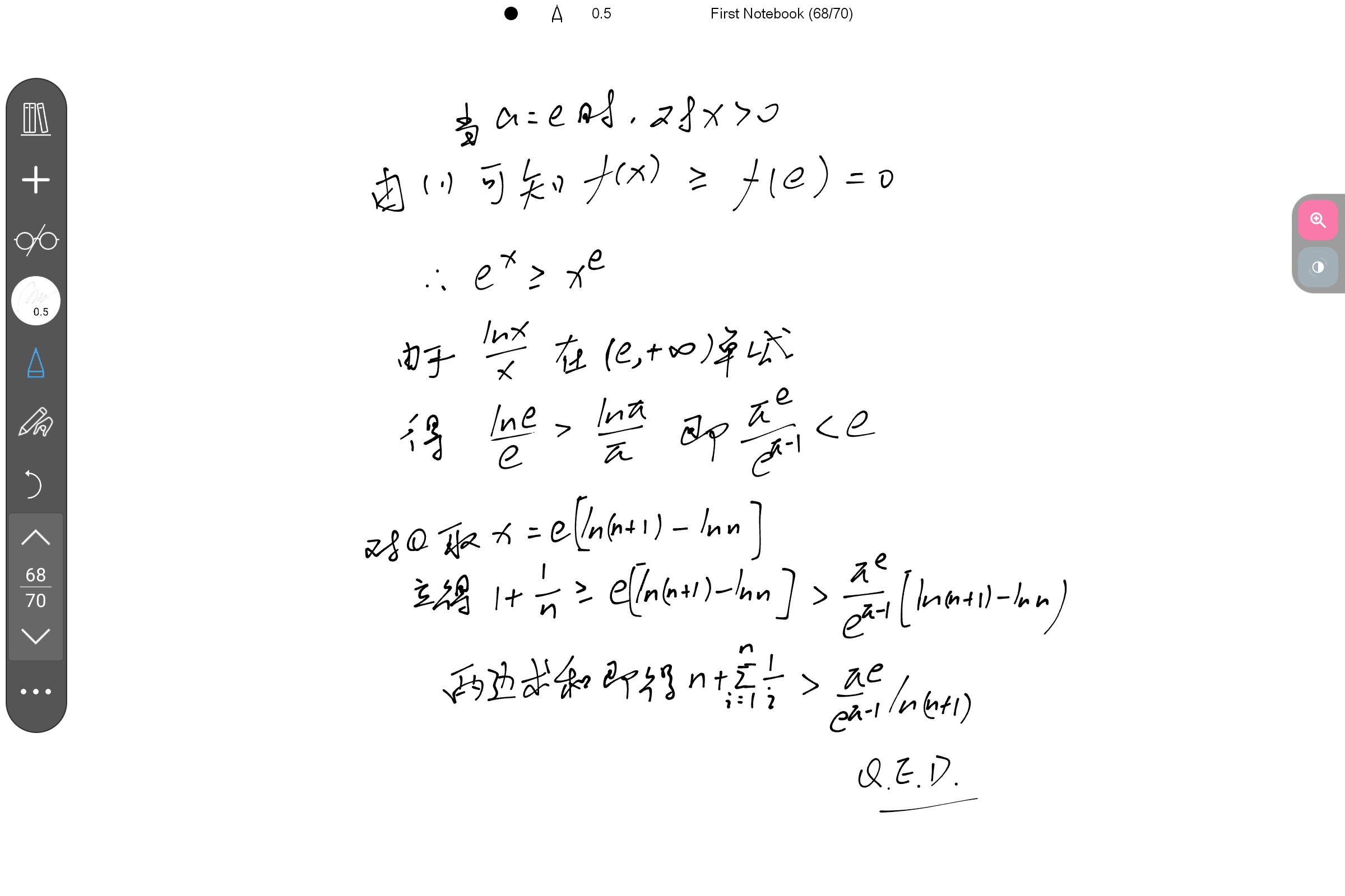
构造法会让你想起22年二卷

当然,这个不等式强度太小了,拿切线一步就放完了,下次整个估计误差的竞赛难度的😋

收起
15
12
共3条回复
时间正序
用户头像
爱5汉的数物(幸福健康)
10天前
请多多指出问题
用户头像
不是人机
10天前

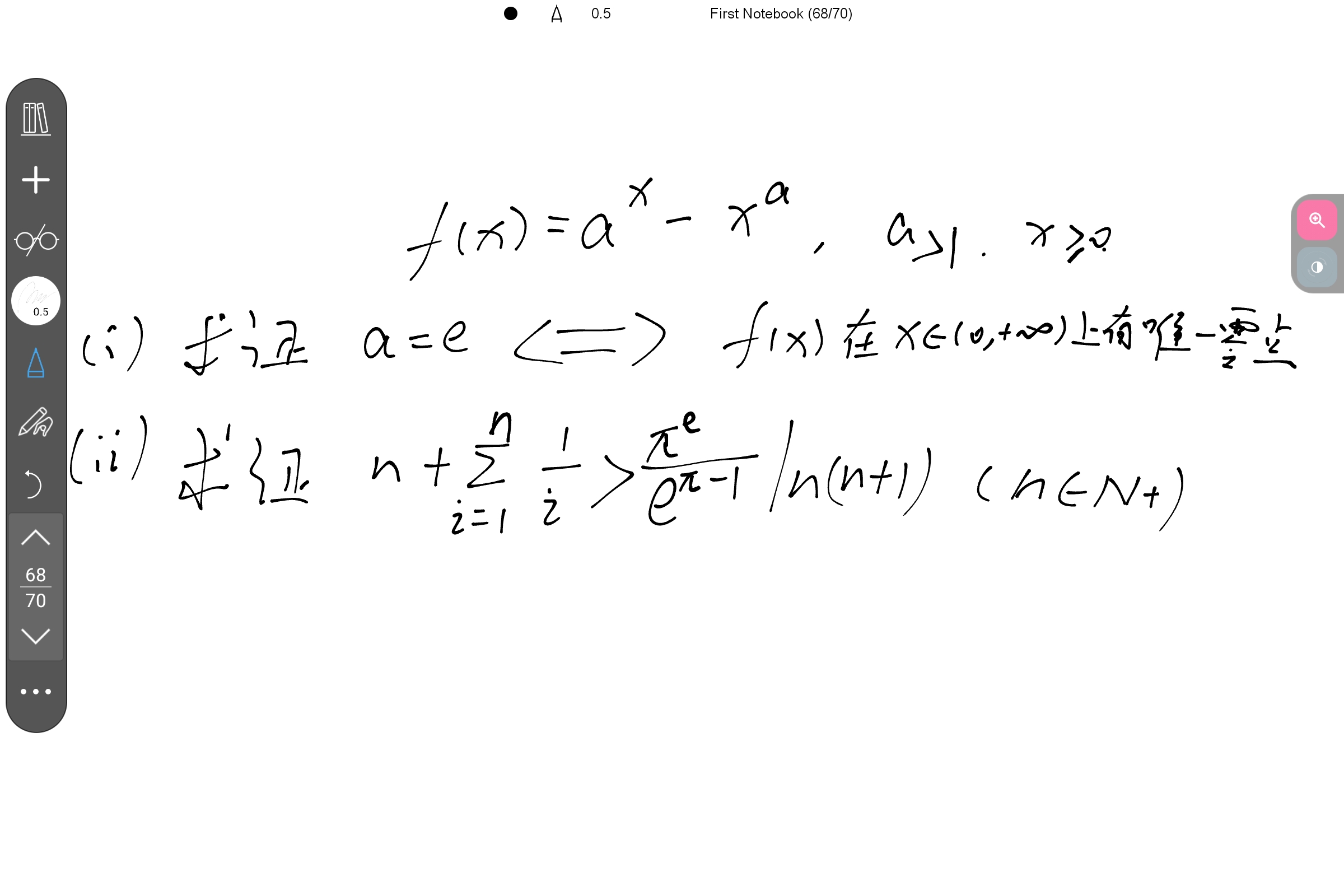
放在高考中算是难题,对中等生较不友好,e与兀设计得太棒了1.png

IMG_20260210_190250.jpg

1条评论
用户头像
爱5汉的数物(幸福健康)
10天前

可以可以,和我设计的想法一样,有实力太棒了1.png

用户头像
爱5汉的数物(幸福健康)
10天前

@不是人机22年的二卷压轴标答没几行就写完了,进行一些构造即可

Screenshot_2026-02-10-22-22-55-245.jpg