开拓性思维

物理
开拓性思维

用户头像
warning 更新于2025-12-13 17:06:35

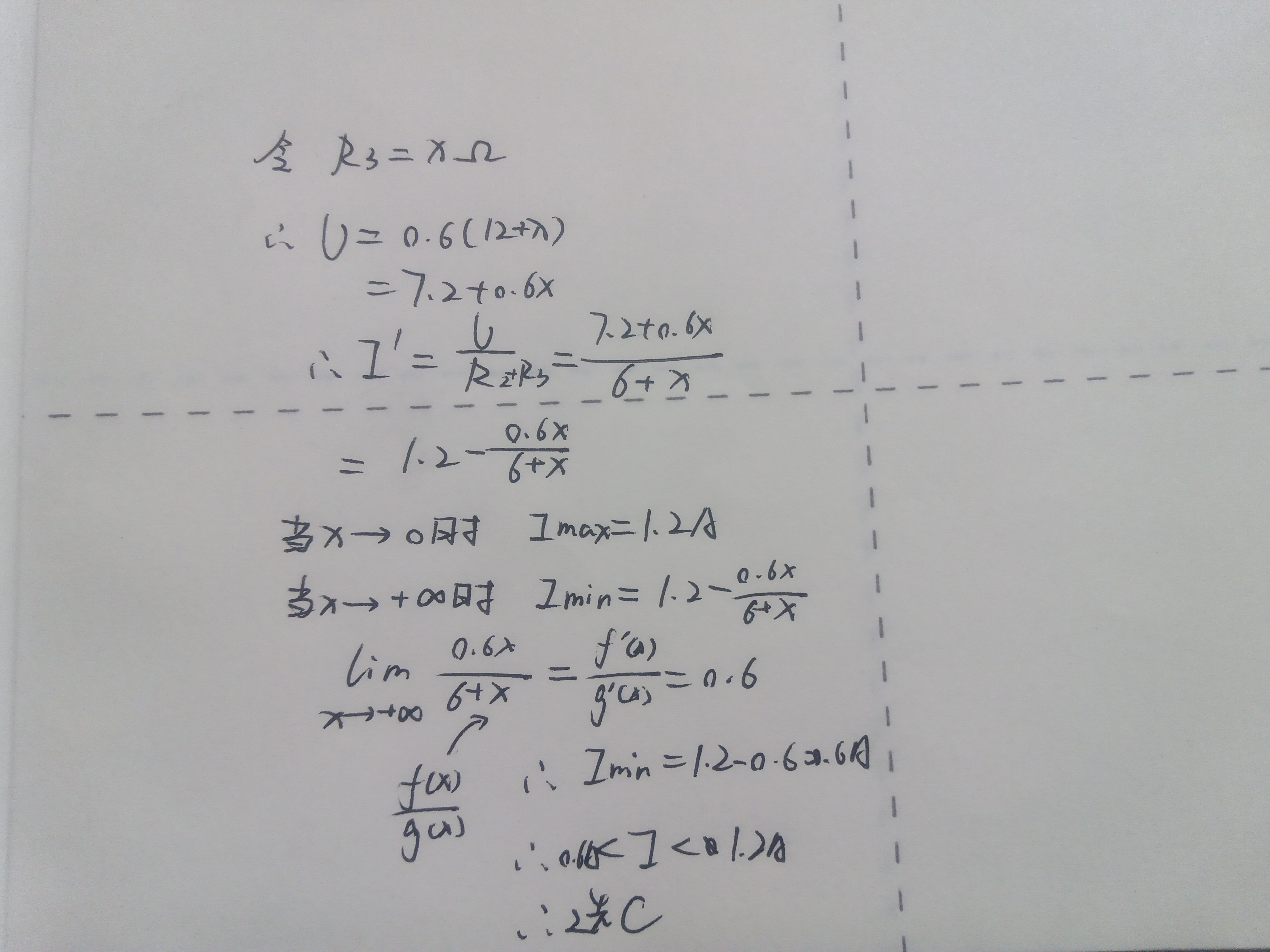
有趣的思路(第17题)IMG_20251214_010458_429.jpg

收起
7
3
共5条回复
时间正序
用户头像
warning
2月前

IMG_20251214_010921_840.jpg

333

3条评论
用户头像
露华浓—_-/‗‖﹏_| ̄|㏘
2月前

看得出来阁下数学不错,这也确实是数学生看到后最有可能的第一想法

用户头像
秋岸徐行As.(你家的徐儿^
2月前

求导?

用户头像
爱5汉的数物(幸福健康) 回复 秋岸徐行As.(你家的徐儿^
2月前

一个禁忌之术1738209017116.jpg

用户头像
warning
2月前
另一种

IMG_20251214_011432_257.jpg

用户头像
爱5汉的数物(幸福健康)
2月前

$上了高中看见这题连理想都没写,感觉都不会做了,第一眼看上这老想把R_3等效为电源内阻$

其实你写的直接把x除下去就可以避免这个超标公式了(如果是大题的话高考都不能洛)

用户头像
无敌臭臭星
2月前

不就应该这么做吗?


用户头像
warning
2月前

大家还有什么方法?10.png