圆锥曲线不会

物理
圆锥曲线不会

用户头像
能被艾特的名 更新于2025-12-12 16:08:11

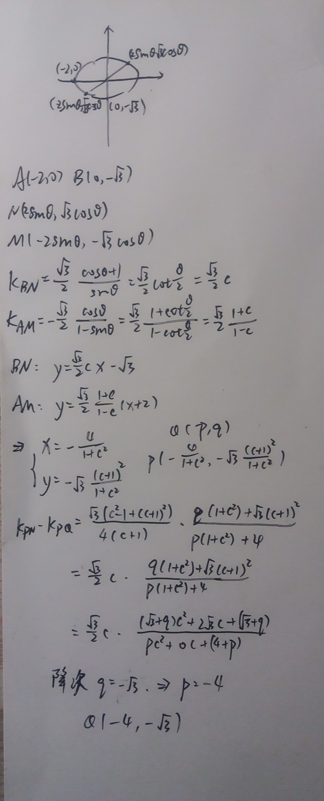
佬们帮我看一看行吗自闭1.png要详细过程,谢谢谢谢谢谢谢谢谢谢谢谢谢谢谢谢谢谢谢谢谢谢谢谢谢谢谢谢谢谢谢谢谢谢谢谢谢谢谢

IMG_20251212_231704_260.jpg


收起
3
1
共2条回复
时间正序
用户头像
florr——24zhao
5月前

IMG_20251213_003231_561.jpg

我学物理的,数学不豪开摆3.png

1条评论
用户头像
能被艾特的名
5月前

谦虚了佬赞1.png

用户头像
能被艾特的名
5月前

各位佬们还有其他做法没,那个老的参数方程虽然很巧妙,但我不太能驾驭,有没有更通俗的方法扔掉大脑3.png

7条评论
用户头像
即未用户4540
5月前

同学你有答案吗能不能发出来看看,不用参数方程感觉太难写了,变量不好统一。

用户头像
能被艾特的名 回复 即未用户4540
5月前

答案是(-4,跟3)-3/4,佬如果有思路也可以发过来你好1.png

用户头像
即未用户4540 回复 能被艾特的名
5月前

我不是佬,我算了好久,感觉就是那位同学用参数方程的方法是最简便的,直接设出直线我算不出来。

没有过程吗?

谢谢了。

用户头像
能被艾特的名 回复 即未用户4540
5月前

这个题是什么基本功上的(试卷名字叫这个,前面俩字我不知道是什么),我搜不出来答案,ai也搞不掉疑问1.png

用户头像
florr——24zhao 回复 能被艾特的名
5月前

去 算错了自闭1.png

用户头像
能被艾特的名 回复 florr——24zhao
5月前

对不起佬我说错了,你算得没错25.png

用户头像
即未用户4540 回复 能被艾特的名
5月前

好吧,我感觉那位同学的方法可以算得上最佳方法了,谢谢了