数学基础轮笔记帖

物理
数学基础轮笔记帖

用户头像
浏无水亦心,扬成木若桐。 更新于2025-12-2 14:40:08
[2025.12.2已更新]
帖子里是本人在学习数学基础轮时记得笔记,到后面可能会有些定义什么的没记,但重要的公式、解体方法一般都有。
O-Box O-Box Part2 O-Box Part3
O-Box O-Box Part2 O-Box Part3
收起
23
15
共18条回复
时间正序
用户头像
浏无水亦心,扬成木若桐。
3月前
集合部分:

IMG_20251125_180321_1.jpg

用户头像
浏无水亦心,扬成木若桐。
3月前
容斥原理与命题:

1764079569069.jpg

IMG_20251125_220638_1.jpg

1764079632804.jpg

1764079635686.jpg

1764079638359.jpg

用户头像
浏无水亦心,扬成木若桐。
3月前
基本不等式

IMG_20251126_200220_1.jpg

IMG_20251126_200229_1.jpg

IMG_20251126_200325_1.jpg

用户头像
浏无水亦心,扬成木若桐。
3月前
不等式

IMG_20251127_211445_1.jpg

IMG_20251127_211447_1_1.jpg

1条评论
用户头像
florr——24zhao
3月前

平方平均打错了

用户头像
浏无水亦心,扬成木若桐。
3月前

不等式

  • 柯西不等式

IMG_20251127_211447_1_2.jpg

  • 排序不等式

IMG_20251127_211456_1.jpg

  • 绝对值三角不等式

IMG_20251127_211456_3.jpg


1条评论
用户头像
¤ 『深蓝』(ー_ー)
3月前

可以给出严谨证明吗?

用户头像
浏无水亦心,扬成木若桐。
3月前
函数基础

IMG_20251128_205536_1.jpg

IMG_20251128_205542_1.jpg

用户头像
浏无水亦心,扬成木若桐。
3月前
函数的奇偶性

IMG_20251128_212605_1.jpg

IMG_20251128_212627_1.jpg

用户头像
浏无水亦心,扬成木若桐。
3月前
幂函数

IMG_20251128_212627_1.jpg

IMG_20251128_212655_2.jpg

用户头像
浏无水亦心,扬成木若桐。
3月前
  • 二次函数求取值范围方法

IMG_20251128_212627_1.jpg

  • 因式分解方法

IMG_20251128_212646_1.jpg

用户头像
浏无水亦心,扬成木若桐。
3月前
  • 判断增函数的方法之一

1764345778147_1.jpg

  • 三次函数基础笔记

1764345780382.jpg



1条评论
用户头像
浏无水亦心,扬成木若桐。
3月前

$$$

IMG_20251201_204422_1.jpg

用户头像
浏无水亦心,扬成木若桐。
3月前
指数函数

IMG_20251129_141554_1.jpg

IMG_20251129_141601_1.jpg

IMG_20251129_141609_1.jpg

用户头像
浏无水亦心,扬成木若桐。
3月前
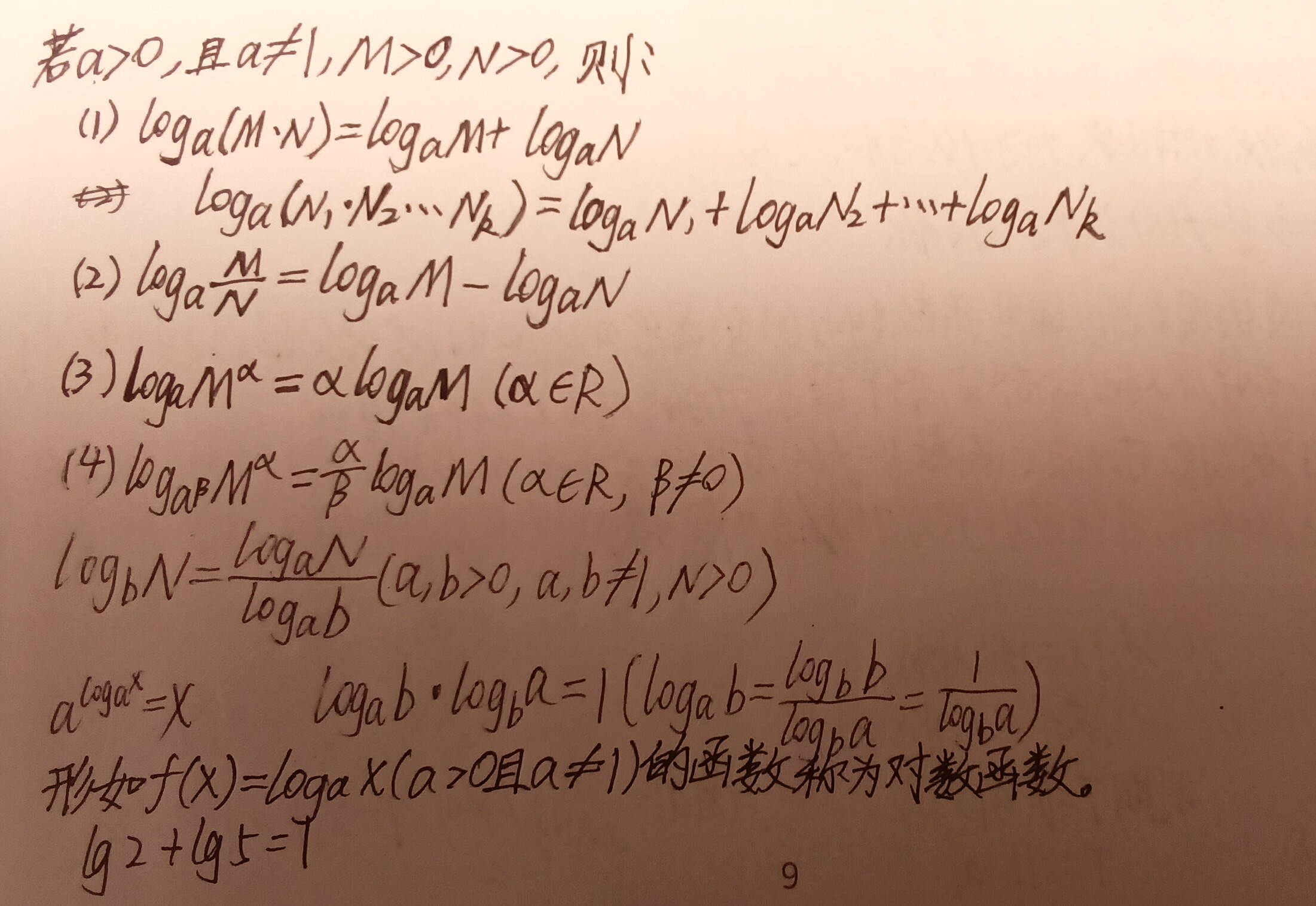
对数函数

IMG_20251201_204118_1.jpg