登录/注册
质心论坛
物理
数学
化学
生物
搜索记录
登录/注册
物理
数学
化学
生物
Common Modal dialog box title
新建问题贴
物理
新建问题贴
末路转溪桥
更新于
2025-11-12 15:58:02
(11.12)1.已解决
进行回复
1
分享
0
举报
删除
收起
收起
1
0
分享
举报
进行回复
共3条回复
时间正序
时间正序
时间倒序
评论最多
末路转溪桥
4小时前
11-12 14:17:23
求来佬
1
评论
收起评论
举报
删除
质心老奶奶
4小时前
11-12 15:11:19
这是求和吗?为什么没上下限
4
3条评论
收起评论
举报
删除
3条评论
评论
天贶
3小时前
11-12 15:15:47
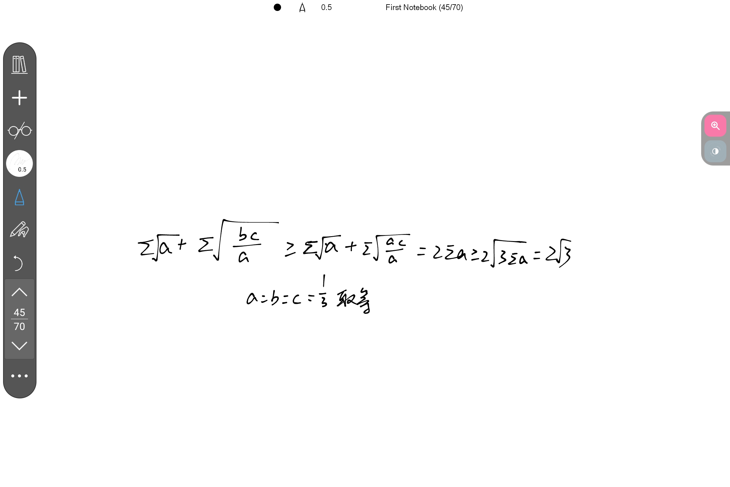
循环求和,原式中abc具有对称性,这样表示更加简便
4
评论
举报
删除
质心老奶奶
回复
天贶
3小时前
11-12 15:20:15
也就是i=a,i=b,i=c求和吗?比如∑√a=√a+√b+√c?
3
评论
举报
删除
爱5汉的数物(幸福健康)
回复
质心老奶奶
3小时前
11-12 15:25:38
是的$$
2
评论
举报
删除
1
爱5汉的数物(幸福健康)
3小时前
11-12 15:25:03
排序和柯西
3
1条评论
收起评论
举报
删除
1条评论
评论
末路转溪桥
3小时前
11-12 15:57:31
谢佬。
0
评论
举报
删除
1
提示
登录后才能进行此操作