求和公式推导

数学
求和公式推导

用户头像
质心老奶奶 更新于2025-11-12 13:18:24

我们都知道高斯求和,大部分的思路应该都是 首项+末项 这样算

但用求和符号表示会更方便一点

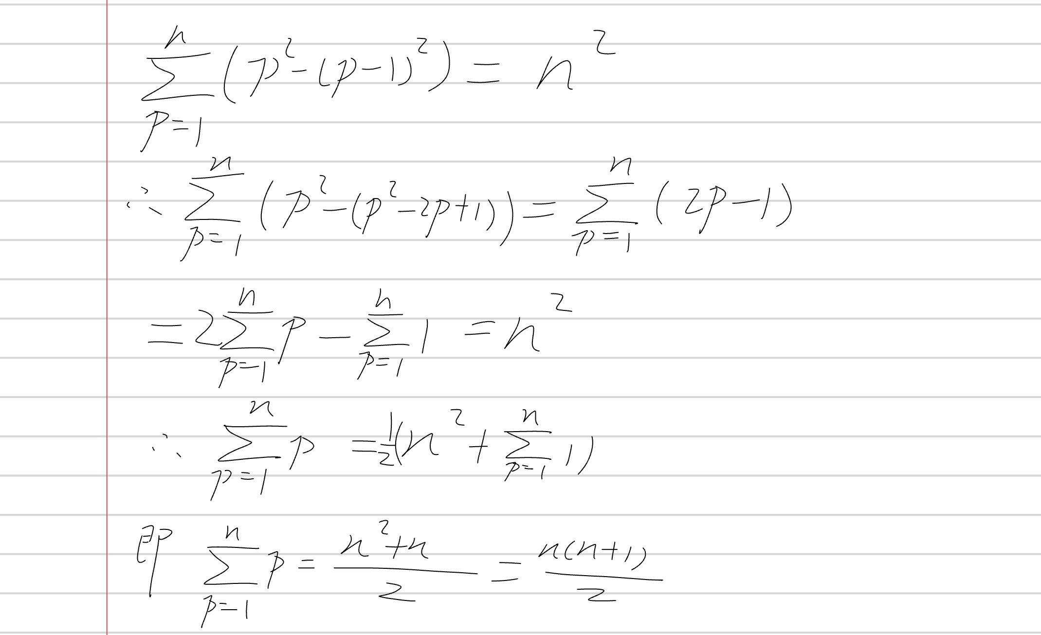
如图,不难发现,这样一个求和,可以消掉中间许多项,只剩首项(因为尾项是零,这里我是从n向1加的,结果是一样的)


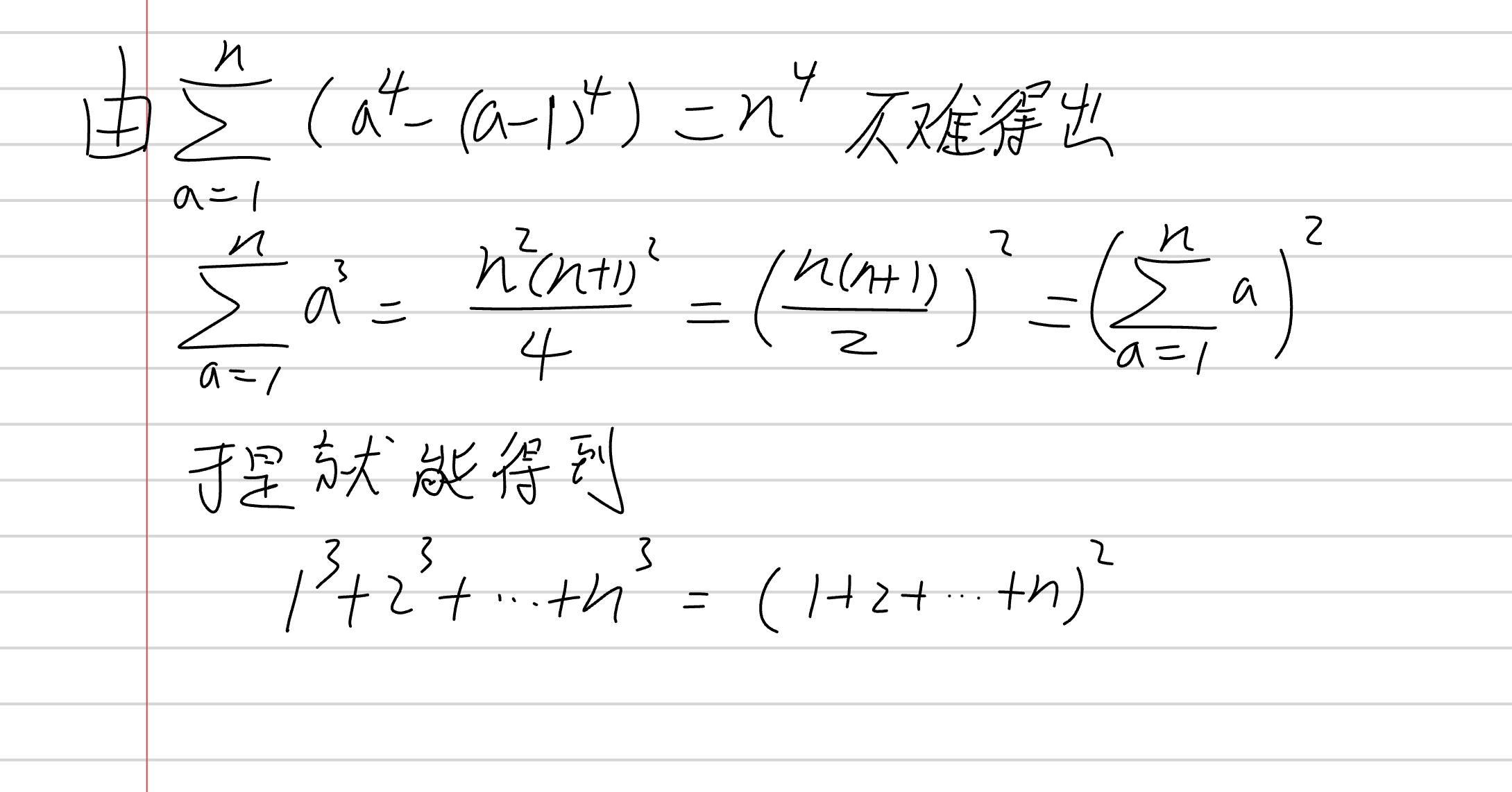
Screenshot_2025-11-10-22-19-12-424.jpg同理,这里只要向上面这样,你就可以写出$1^2+2^2+...+n^2$,$1^3+2^3+...+n^3$

现在我们来证明一个简单的结论。√($1^3+2^3+...+n^3$)=$1+2+...+n$

只要同上面的过程思路一样就可以求了

Screenshot_2025-11-10-22-24-20-489.jpg这是一个竞赛要熟记的公式之一,记住比较好。(但其实不用记,知道推导过程就行了,还可以求其它的。)


收起
3
3
共0条回复
时间正序
回复是交流的起点,交流让学竞赛不孤单