物理 从折射定律到最速降线
在初中阶段我们学习过光的折射,并研究了凸透镜的成像,有深入了解过的朋友都知道光的折射定律:n=sinθ₁/sinθ₂
那么它(她)是怎么来的呢?下面我们来导一下(这倒是提醒我了)
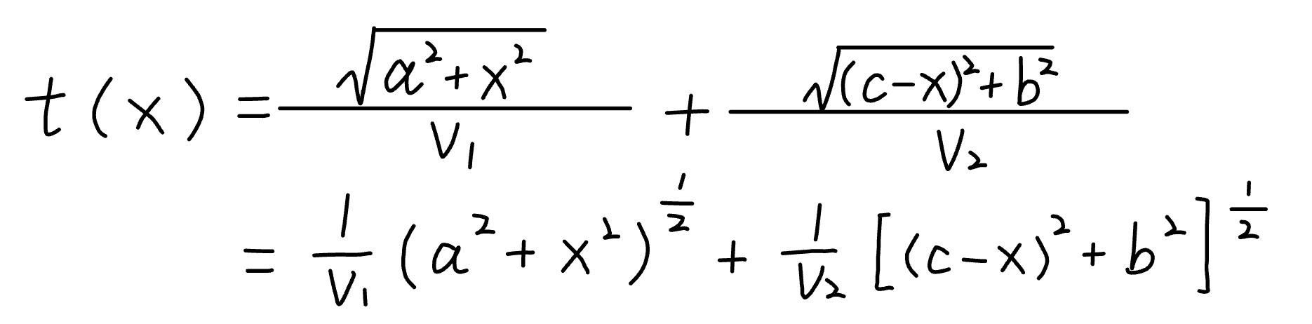
根据费马原理,光总是沿光程(光的🦌程)取极值的方向传播,于是我们作如下草图:

其中v₁,v₂分别为光在介质1和介质2中的传播速度(假定两介质不相同)
于是我们可得光经过两段斜线所需时间t与x的函数关系为(a,b,c为常量)

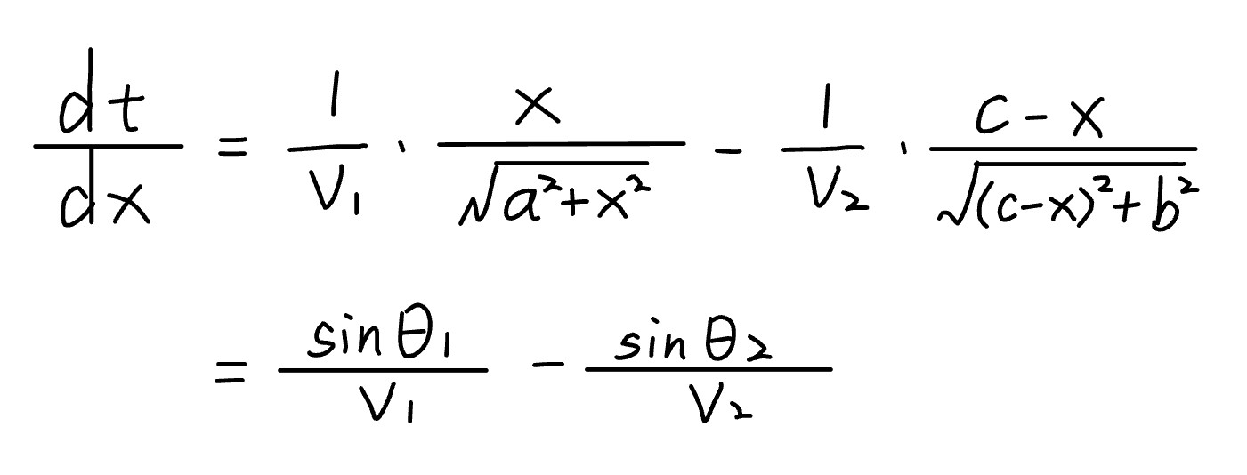
t对x求导得

取极值时dt/dx=0,故有sinθ₁/v₁=sinθ₂/v₂
∵sinθ/v=C(其中C为常数),n=v/c ∴n=sinθ₁/sinθ₂
证毕
肥肠简单对吧,下面我们来看一个与它有异曲同工之妙的问题——最速降线
什么是最速降线呢?它说的是这样一件事:
我们都知道如果斜面摩擦力不大且小球受重力足够,那么它就会从斜面上滚下来,且当起始点与终点相同时,斜面的曲度会影响它下落的时间
而能使小球最快滚下的那条曲线就被称为最速降线
求解过程如下:
显而易见的,最速降线应该是一条“向下凹”的曲线,我们先随手画个草图

取曲线上任意一点(x,y),作该点的切线,切线与x轴,y轴的夹角分别为φ,θ(为了更加直观,图中浅蓝色线是将轴经过平移得到,角的位置有变但大小不变)
设小球质量为m,重力加速度(重力常数)为g,且小球视为质点
根据动能定理,竖直方向上有:
mg·y=mv²/2 ⇒ v=√(2g·y)
又有θ+φ=π/2(弧度制) ⇒ sinθ=cosφ=1/√(1+tan²φ) (这里运用了三角恒等变换)
其中tanφ为切线斜率,即tanφ=dy/dx=y'(依旧导数)
由上文我们类推:sinθ/v=C(C为常数,与上文C无关系)
带入sinθ与v得:(1+y'²)y=C ⇒ y'=√[(C-y)/y]
化为比较简洁的微分方程(说人话就是把y'拆开(y',自己掰开!)然后把dx单独移到一边)
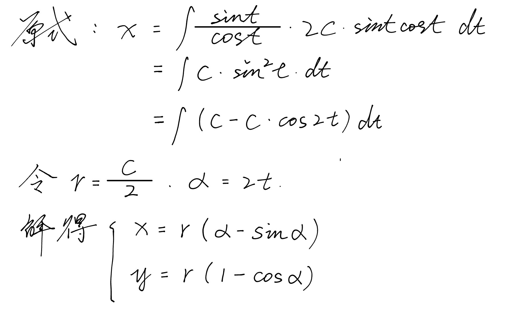
我们得到:dx=√[y/(C-y)]·dy
直接解显然有点难办(难办就别办辣!),于是我们想到,令y=C·sin²t(注意力惊人)
然后我们就有:

根据二倍角公式以及三角恒等变换:
cos2t=cos²t-sin²t=1-2sin²t
代入上式:

可见,结果是个方程组,
那么这个东西到底是什么呢
其实就是一个圆沿直线滚动形成的曲线(的对称线),称为旋轮线(摆线)
在这里感谢由@云游于宇宙边际的浮游生物提供的函数图像

将数据标注在上图,我们得到:


可见在上述参数方程组中,r实际上是所旋转的圆的半径,α为该半径所经过的弧度角
至此最速降线证毕
完结撒花,感谢陪伴
注:该帖由@云游于宇宙边际的浮游生物提供作图与思路支持,她(酒石股亦滴)的帖子有更加严谨的证明,如有需要请移步,感谢配合
感谢@麓鸣与@florr——24zhao提供思路与资料支持
另:如有错误,感谢各位佬指出



