物理 积分导数表与三角函数常用公式整理笔记(没事拿出来背诵一下)
总目录:(待更新)
更新进度:
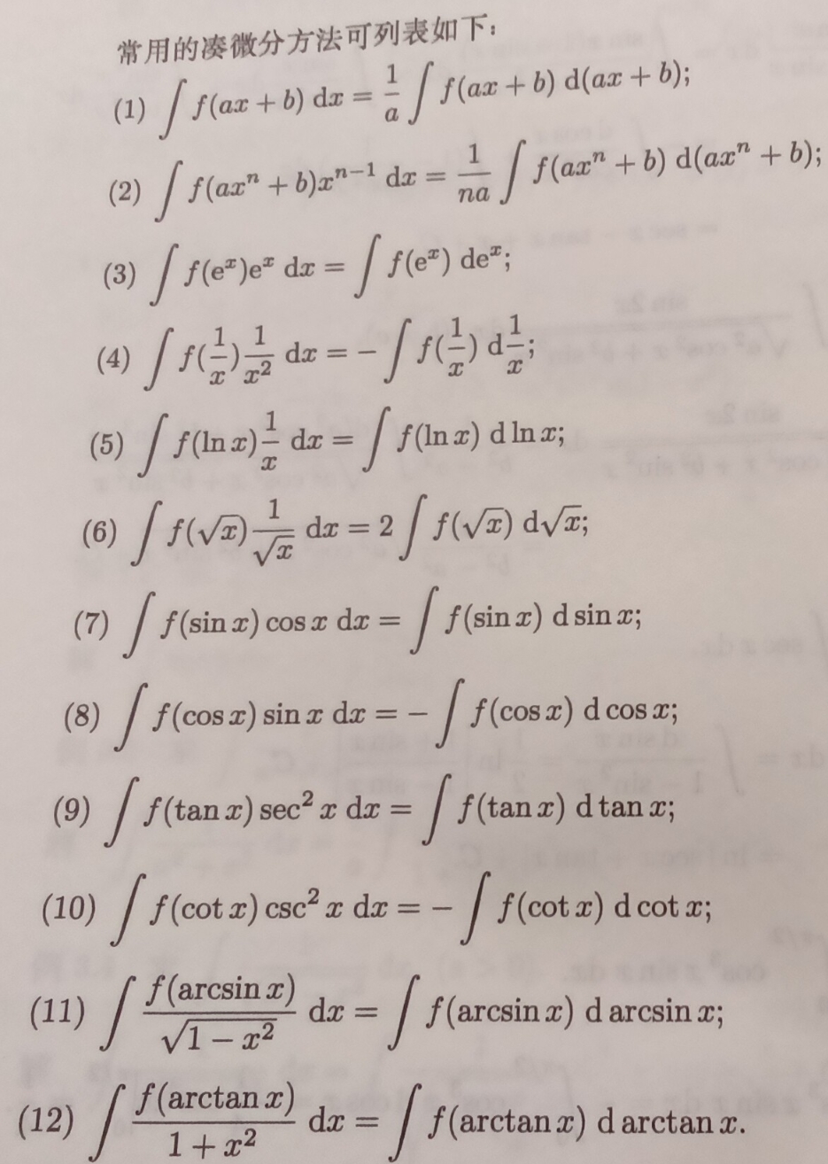
旧微积分表与三角函数表:100%
新微积分必备表:100%
定积分解题基础技巧:10%
(有原手稿可以一分钟内全更完但字可能丑那么亿些,投票直接发的人超过十个我就不重抄修改补充了)
基础向量:5%
向量分析:0%开坑,不管自己死活了,我要20更!
目录:0%
投票楼见回复倒序前几个?目前是第一个12月.3日.10点.55分,投票内容:习题,更新的版本?(见上)
更完这几个会更一些更难得比如面体环(可能性稍大)矢量分析(开更),傅立叶,复数(快了)等。等一两个月吧,我现学,最近时间稍微充裕一些。
感谢大家的支持!!!
更新频率一周一两次,一次更没个坑5%至15%是每次更一个呢还是一起更还是想更哪个更哪个。


更详细的教学帖(一个大佬哦):

更多三角函数的公式详见:

更新continue.jpg

图一

图二

与此同时再写点向量的内容吧点乘与叉乘
浅更一点去背历史了,明天考试🤧😭

共9条回复
时间正序


