共13条回复
时间正序
- 时间正序
- 时间倒序
- 评论最多
2条评论 评论
- 1
2条评论 评论
outsidelightcone
5月前
2025-12-5 14:51:47

第二问用能量法时为什么不考虑两个像电荷(一个在球心,一个在阿式圆对应的点上)的相互作用能?
4条评论 评论
outsidelightcone
5月前
2025-12-7 04:22:02





这是我们班主任给我们班上物竞生找的模拟赛,自我感觉比42复还要困难(尤其是T6力学,我TM只会力学,你还放难的,好在位力那题不难),请各位大佬评价一下
2条评论 评论
2条评论 评论
outsidelightcone
4月前
2025-12-24 15:02:50

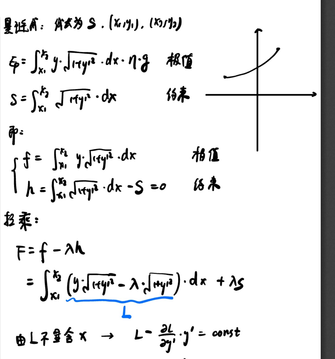
这里用泛函解悬链线时用了拉乘,那lanmata 不就成了一个与y 同地位的函数了吗?为什么不对lanmata 使用E_L方程
4条评论 评论
全世界无产者联合起来
4月前
2025-12-25 15:42:45
退役之后看你们赤石就是爽哈哈哈哈哈哈哈哈哈哈
科大过审的话入围赛别抢我名额》》》》》》》》》》别到时候你们几个过了哥们炸了
(但是鉴于科大营一难度掉成这样,所以非常吃基础题的满级发挥,所以复赛往上的题大概率我已经搞不定了哈哈,明年我最多预赛恶心一下你们,复赛不用管我的存在)
第四问中问什么对A'角动量守恒?



(趁我回家多问几题)角爷闪电皮上的,求详解


题1-33(2)(3)怎么做?