物理 广义相对论
因为某某原因,所以打算开一个广义相对论的帖,至于这个帖,可能帖主是个弱弱的高中生,所以讲的不是这么好,目标:5天更完,感觉不太可能,之后的内容会在评论区讲为了避免内容太多导致帖子非常卡,就说一句,欢迎错误指正
为了让更多听懂,所以我打算先讲一讲狭义相对论,首先我们先约定一下,我在每次帖子的最后面都会发一张图片,就假设洛伦兹变换为公式圆圈一,我会在图片写好,还有,约定所以人都会张量分析,我这里因为是给广义相对论做铺垫肯定是张量分析表达,至于数学内容因为省时省,其实数学内容不难主要计算,所以考虑简洁性,所以不讲了
第一章狭义相对论,1.1洛伦兹变换
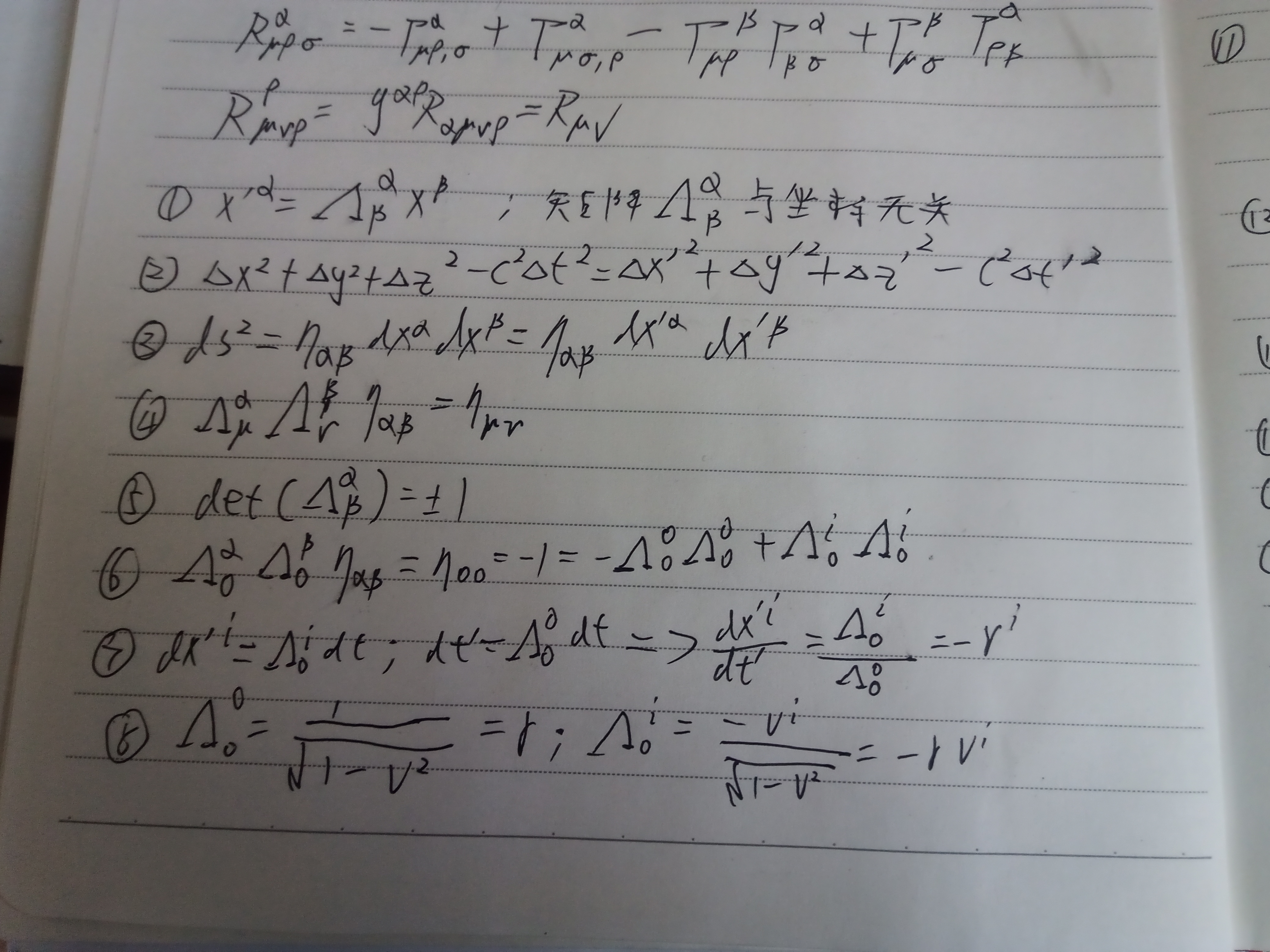
约定:光速不变原理,伽利略变换被修正成洛伦兹变换,即公式1,且洛伦兹变换是关于坐标的线性变换
然后定义距离,且在任何参照系下不变,即自然定律对洛伦兹变换群是不变的,即公式2,然后约定c=1吧,公式二可以写成公式三,这里考虑到了度规负号,好吧,那我在约定第0公式是一些前置约定,可能我想什么就写什么,所以第0公式会比较多,另外说一下,公式3用了爱因斯坦求和阅读
然后距离不依赖坐标的选取,即出现一个闵可夫斯基空间,就叫四维时空,在这里我们定义一个名称叫事件,就是某时刻在某地的事情,代表一个时空点
有ds^2<0,叫类时.ds^2=0,叫类光.ds^2>0,叫类空.
类时表明两个事件有因果关系,在任何参照系中,两个事件的时间顺序一样,且存在一个参照系两个事件在相同空间位置;
类空表明两个事件没有因果关系,在不同参照系中,两个事件的时间顺序可以不同,且存在一个参照系两个事件同时发生;
类光是临界事件,两个事件要么在任何参照系里都同时发生,要么都不同时且不同地
公式1可以被看成四维时空的旋转,因为要保证所有坐标系距离不变,旋转矩阵满足条件公式四,由公式四可知公式五
考虑公式四中的时间分量,有公式六,一般情况下,带有时间指标0的矩阵元可以通过考察两个以v速度相对运动的观测者的观测结果得
在S系中的静止物体,在S'系看来速度是-v,所以由公式一可得公式七,代入公式六,得公式8,甚于的矩阵元和单纯空间旋转有关.
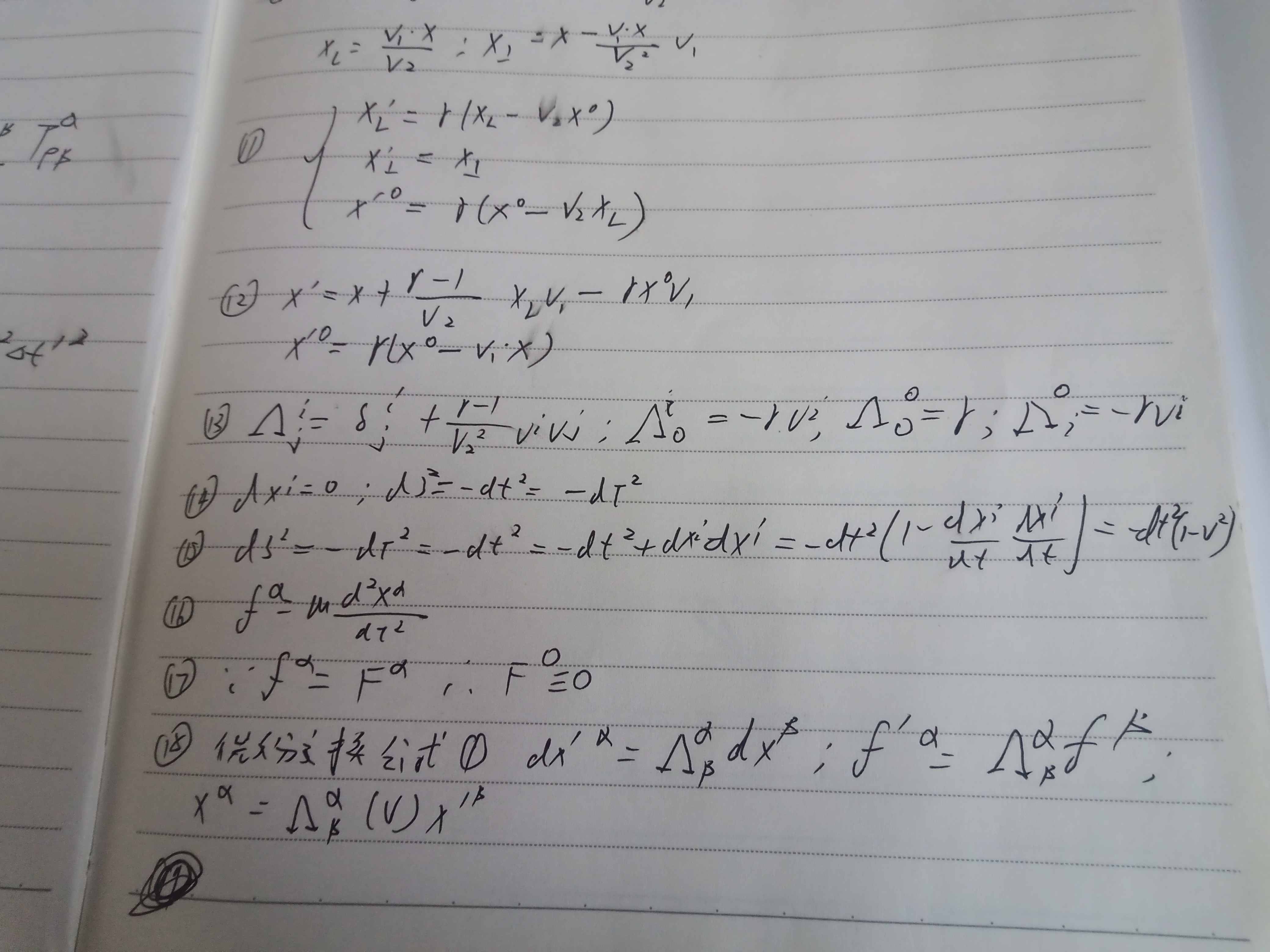
写一个洛伦兹变换矩阵形式,即公式九,这个公式可以推广到任意相对速度的洛伦兹变换,三维坐标相对速度方向纵向投影分量和横向,即公式十
然后因为公式九又可推公式11,合并里面分量得公式十二,所以自然可有公式十三.
不过由于狭义相对论本人想让更多人听懂,所以决定公式以及公式的数学意义中不加入群论的知识条件了
1.2固有时,时间膨胀和尺缩
这里再说明一件事,坐标系和参照系在狭义相对论中没有太大区别,占时先属于一个概念
另外在狭义相对论中,两个事件的时间和间隔在不同参考系,所以在类时中,存在一个坐标系,两个事件在同一空间位置发生,只是时间会有差值,叫固有时,即公式十四.
固有时的微元的平方与四维距离平方差一个负号,所以固有时也是洛伦兹不变量,它代表的是类时世界线的四维长度,所以在任意坐标系中,两个类时事件的时间间隔和固有时的关系为公式15,两个类时事件的时间间隔以固有时为最短,所以叫时间膨胀.
2.3粒子动力学
我们假定粒子的运动像在电动力学一样,我们定义一个作用于坐标为x上指标a的粒子上的相对论性的力,见公式十六,相对论性力有以下两个性质:
1.如果粒子是瞬时静止的,有固有时间隔等于dt,所以可以和牛顿力联系起来,即公式十七
2.在一般洛伦兹变换下坐标微分的变换规则是公式一的微分,由于固有时是不变量,固公式十六告诉我们,相对论性力具有洛伦兹变换的规则,即公式18
2.4能量和动量
接下来就是继续把动量和能量的那些公式在相对论情况下重新定义,即公式19,有比较多的公式































