登录/注册
质心论坛
物理
数学
化学
生物
搜索记录
登录/注册
物理
数学
化学
生物
Common Modal dialog box title
第一次考试太难了太差了
数学
第一次考试太难了太差了
一点也不会
更新于
2025-10-5 09:26:09
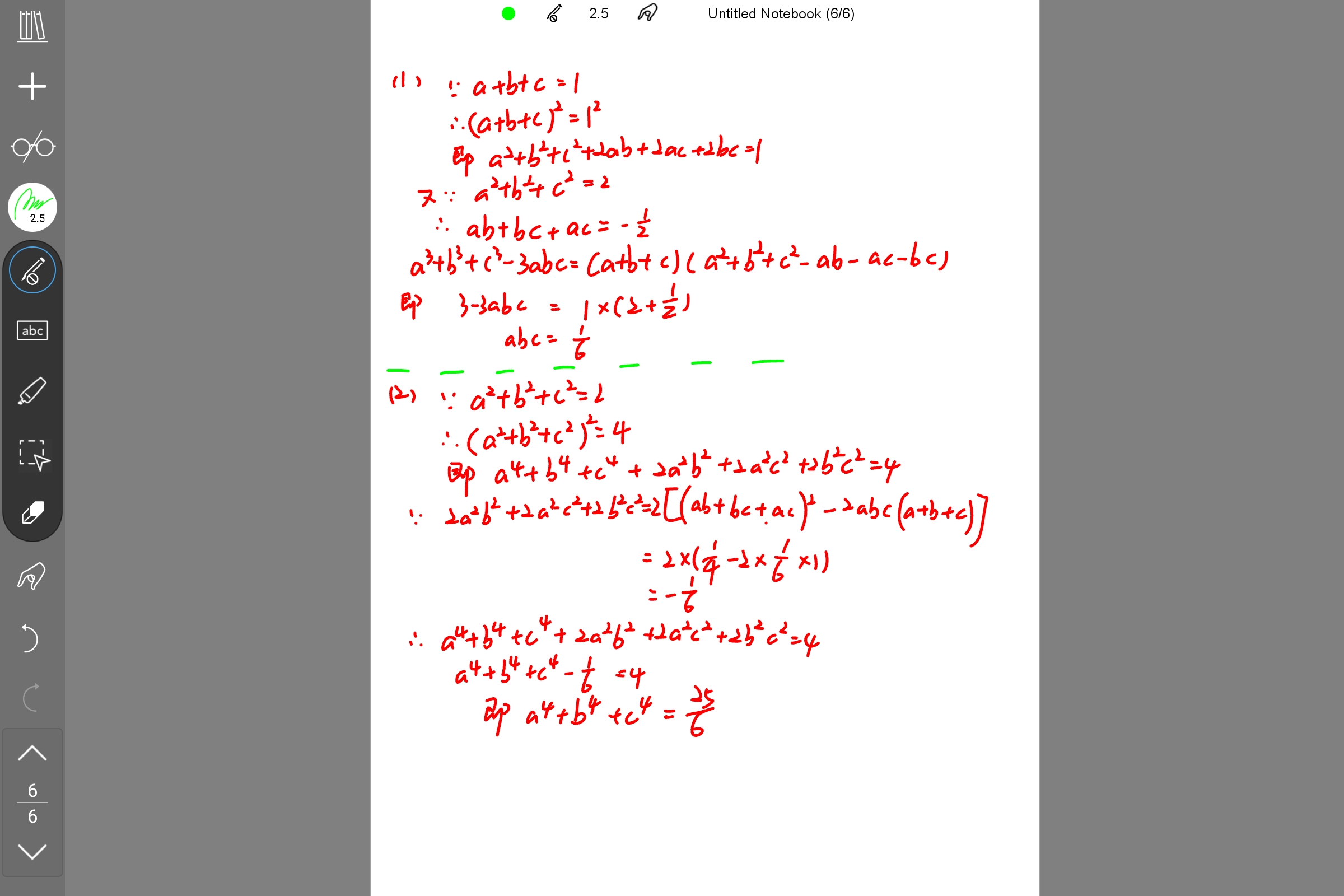
才考65勉强及格😭哪个大佬给我解答一下最后一题简析看不懂
进行回复
2
分享
0
举报
删除
收起
收起
2
0
分享
举报
进行回复
共3条回复
时间正序
时间正序
时间倒序
评论最多
一点也不会
1月前
10-5 09:25:11
等待大佬ing
1
评论
收起评论
举报
删除
离木倾城
1月前
10-5 10:17:52
可能就是因式分解难一点儿吧
3
1条评论
收起评论
举报
删除
1条评论
评论
一点也不会
1月前
10-7 02:49:56
又是你谢谢么么哒
0
评论
举报
删除
1
一点也不会
1月前
10-7 02:41:48
谢谢了
😖
0
评论
收起评论
举报
删除
提示
登录后才能进行此操作