物理 【广义相对论速成版】3. 中心球对称解与新引力效应 3.1 引力场的中心球对称解
宇宙大多数星体的质量分布都是中心球对称的,它将产生中心球对称引力场,即度规是中心球对称的。
1. 中心球对称的度规与弧元
半径为$R=a$的球面上的弧元$\mathrm{d}s^{2}$对$S^{2}$球坐标可表示为
$$\mathrm{d}s^{2}=r^{2}\left(\mathrm{d}\theta^{2}+\sin^{2}\theta\mathrm{d}\phi^{2}\right),\qquad r=a$$
$r^{2}$因子保证了$\mathrm{d}s$具有长度的量纲。三维Euclidean空间在球坐标
$$x^{1}=r, \quad x^{2}=\theta, \quad x^{3}=\phi$$
当$\mathrm{d}r=0$时,$\mathrm{d}s$为球面上的弧元,且在$r$相同的地方$\mathrm{d}s$具有相同的形式,这种表示称为中心球对称弧元。
四维赝欧时空,在$x^{0}=c t, x^{1}=r, x^{2}=\theta, x^{3}=\phi$的赝欧球坐标中,弧元
$$\mathrm{d} s^{2}=c^{2} \mathrm{d} t^{2}-\left[\mathrm{d} r^{2}+r^{2}\left(\mathrm{d} \theta^{2}+\sin ^{2} \theta \mathrm{d} \phi^{2}\right)\right]$$
它是四维平直时空的弧元(仅是后面用球坐标表示而已),它的特征是弧元的空间部分
$$\mathrm{d} \ell^{2}=\mathrm{d} r^{2}+r^{2}\left(\mathrm{d} \theta^{2}+\sin ^{2} \theta \mathrm{d} \phi^{2}\right),\quad \text{为中心球对称的弧元}$$
当$\mathrm{d}t=0,\mathrm{d}r=0$时
$$-\mathrm{d} s^{2}=r^{2}\left(\mathrm{d} \theta^{2}+\sin ^{2} \theta \mathrm{d} \phi^{2}\right)$$
为球面元。上述$\mathrm{d}s^{2}$的表述称为\textbf{四维赝欧时空的中心球对称表示}。$\mathrm{d}s^{2}$对所有$r$相同处具有相同的形式。
中心球对称Riemann时空要求弧元$\mathrm{d}s^{2}$对中心向径$r$相等的点具有相同的形式,并且在$\mathrm{d}t=0,\mathrm{d}r=0$时$-\mathrm{d}s^{2}$是球面弧元。一般还要求在无穷远处$\mathrm{d}s^{2}$变成赝欧时空中心球对称弧元
$$\mathrm{d} s^{2}=c^{2} \mathrm{d} t^{2}-\left[\mathrm{d} r^{2}+r^{2}\left(\mathrm{d} \theta^{2}+\sin ^{2} \theta \mathrm{d} \phi^{2}\right)\right]$$
对四维Riemann时空中的弧元$\mathrm{d}s^{2}$的中心球对称的一般形式可表示为
$$\mathrm{d} s^{2}=A \mathrm{d} r^{2}+B r^{2}\left(\mathrm{d} \theta^{2}+\sin ^{2} \theta \mathrm{d} \phi^{2}\right)+C \mathrm{d} r \mathrm{d} t+\mathrm{d} \mathrm{d} t^{2}$$
$A,B,C,D$仅为$r$和$t$的函数,它是保持中心球对称定义的弧元,此弧元仅允许下列两种变换
$$r^{\prime}=\overline{r}(r, t), \quad t^{\prime}=\overline{t}(r, t)$$
可以通过上述两个变换使
$$B=-1, \quad C=0$$
则
$$\mathrm{d} s^{2}=A \mathrm{d} r^{2}-r^{2}\left(\mathrm{d} \theta^{2}+\sin ^{2} \theta \mathrm{d} \phi^{2}\right)+D \mathrm{d} t^{2}$$
令
$$D=c^{2} e^{\nu}$$
当然$\nu$是$r$和$t$的函数,同时令
$$A=-e^{\lambda}$$
即
$$\mathrm{d} s^{2}=c^{2} e^{\nu} \mathrm{d} t^{2}-r^{2}\left(\mathrm{d} \theta^{2}+\sin ^{2} \theta \mathrm{d} \phi^{2}\right)-e^{\lambda} \mathrm{d} r^{2}$$
当$r\to\infty$时,$\nu=\lambda=0$,$\mathrm{d}s^{2}$可变成平直时空中心球对称弧元
$$\mathrm{d} s^{2}=c^{2} \mathrm{d} t^{2}-\left[\mathrm{d} r^{2}+r^{2}\left(\mathrm{d} \theta^{2}+\sin ^{2} \theta \mathrm{d} \phi^{2}\right)\right]$$
对坐标
$$x^{0}=c t, \quad x^{1}=r, \quad x^{2}=\theta, \quad x^{3}=\phi$$
对度规$g_{\mu\nu}$
$$\mathrm{d} s^{2}=-g_{\mu \nu} \mathrm{d} x^{\mu} \mathrm{d} x^{\nu}$$
$$\begin{aligned}g_{00}=-e^{\nu}, \quad g_{11}=e^{\lambda},& \quad g_{22}=r^{2}, \quad g_{33}=r^{2} \sin ^{2} \theta\\\text{当}\mu\neq\nu\text{时},&\quad g_{\mu\nu}=0 \end{aligned}$$
并且
$$g=-r^{4} \sin ^{2} \theta e^{\nu+\lambda}$$
$$\sqrt{-g}=r^{2} \sin \theta e^{\frac{v+\lambda}{2}}$$
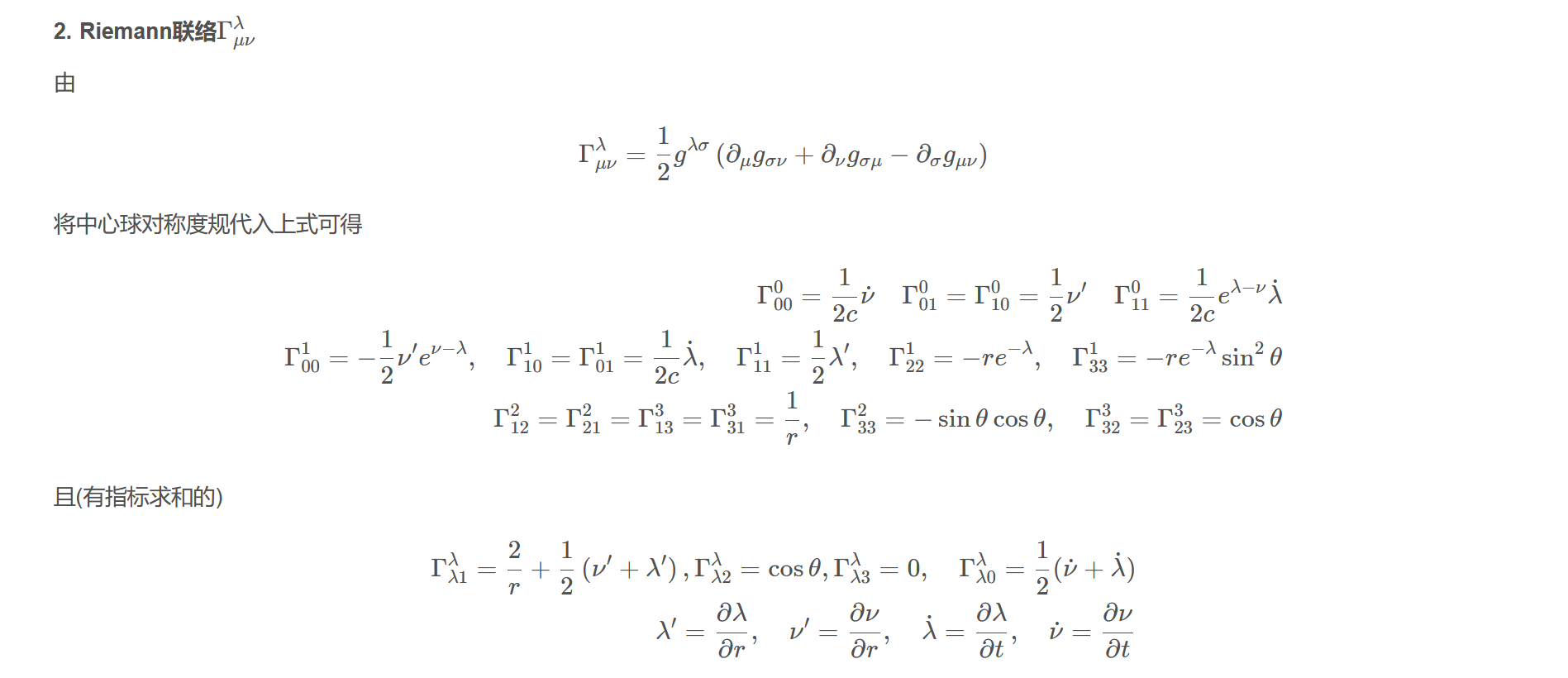
2. Riemann联络$\Gamma_{\mu\nu}^{\lambda}$
由
$$\Gamma_{\mu \nu}^{\lambda}=\frac{1}{2} g^{\lambda \sigma}\left(\partial_{\mu} g_{\sigma \nu}+\partial_{\nu} g_{\sigma \mu}-\partial_{\sigma} g_{\mu \nu}\right)$$
将中心球对称度规代入上式可得
$$\begin{aligned}\Gamma_{00}^{0}=\frac{1}{2 c} \dot{\nu}\quad \Gamma_{01}^{0}=\Gamma_{10}^{0}=\frac{1}{2} \nu^{\prime}\quad \Gamma_{11}^{0}=\frac{1}{2 c} e^{\lambda-\nu} \dot{\lambda}\\\Gamma_{00}^{1}=-\frac{1}{2}\nu^{\prime}e^{\nu-\lambda},\quad \Gamma_{10}^{1}=\Gamma_{01}^{1}=\frac{1}{2 c} \dot{\lambda},\quad \Gamma_{11}^{1}=\frac{1}{2} \lambda^{\prime},\quad \Gamma_{22}^{1}=-r e^{-\lambda}, \quad \Gamma_{33}^{1}=-r e^{-\lambda} \sin ^{2} \theta\\\Gamma_{12}^{2}=\Gamma_{21}^{2}=\Gamma_{13}^{3}=\Gamma_{31}^{3}=\frac{1}{r}, \quad \Gamma_{33}^{2}=-\sin \theta \cos \theta,\quad \Gamma_{32}^{3}=\Gamma_{23}^{3}=\cos \theta\end{aligned}$$
且(有指标求和的)
$$\begin{aligned}\Gamma_{\lambda 1}^{\lambda}=\frac{2}{r}+\frac{1}{2}\left(\nu^{\prime}+\lambda^{\prime}\right), \Gamma_{\lambda 2}^{\lambda}=\cos \theta, \Gamma_{\lambda 3}^{\lambda}=0, \quad \Gamma_{\lambda 0}^{\lambda}=\frac{1}{2}(\dot{\nu}+\dot{\lambda})\\\lambda^{\prime}=\frac{\partial \lambda}{\partial r}, \quad \nu^{\prime}=\frac{\partial \nu}{\partial r}, \quad \dot{\lambda}=\frac{\partial \lambda}{\partial t}, \quad \dot{\nu}=\frac{\partial \nu}{\partial t}\end{aligned}$$
3. Einstein张量
由中心球对称情况的$\Gamma_{\mu\nu}^{\lambda}$可计算Einstein张量
$$G_{\nu}^{\mu}=R_{\nu}^{\mu}-\frac{1}{2} \delta_{\nu}^{\mu} R$$
$$\begin{aligned}R_{0}^{0}-\frac{1}{2} R&=e^{-\lambda}\left[\frac{1}{r^{2}}-\frac{1}{r} \lambda^{\prime}\right]-\frac{1}{r^{2}}\\R_{1}^{1}-\frac{1}{2} R&=e^{-\lambda}\left(\frac{1}{r} \nu^{\prime}+\frac{1}{r^{2}}\right)-\frac{1}{r^{2}}\\R_{2}^{2}-\frac{1}{2} R&=R_{3}^{3}-\frac{1}{2} R\\&=\frac{1}{2} e^{-\lambda}\left[\nu^{\prime \prime}+\frac{1}{2}\left(\nu^{\prime}\right)^{2}-\frac{1}{2} \nu^{\prime} \lambda^{\prime}+\frac{1}{r}\left(\nu^{\prime}-\lambda^{\prime}\right)\right]+\frac{1}{2 c^{2}}\left[\ddot{\lambda}+\frac{1}{2}(\dot{\lambda})^{2}-\frac{1}{2} \dot{\lambda}\dot{\nu}\right]\\R_{0}^{1}&=\frac{1}{c r} e^{-\lambda} \dot{\lambda}\end{aligned}$$
$$T^{\mu\nu}=\rho c^{2}u^{\mu}u^{\nu}$$
对静止点源
$$\rho=M \vec{\delta}^{3} \vec{r}$$
对点源以外,即:$\vec{r}\neq 0, T_{\nu}^{\mu}=0$,故Einstein张量化为
$$R_{\nu}^{\mu}-\frac{1}{2} \delta_{\nu}^{\mu} R=0$$
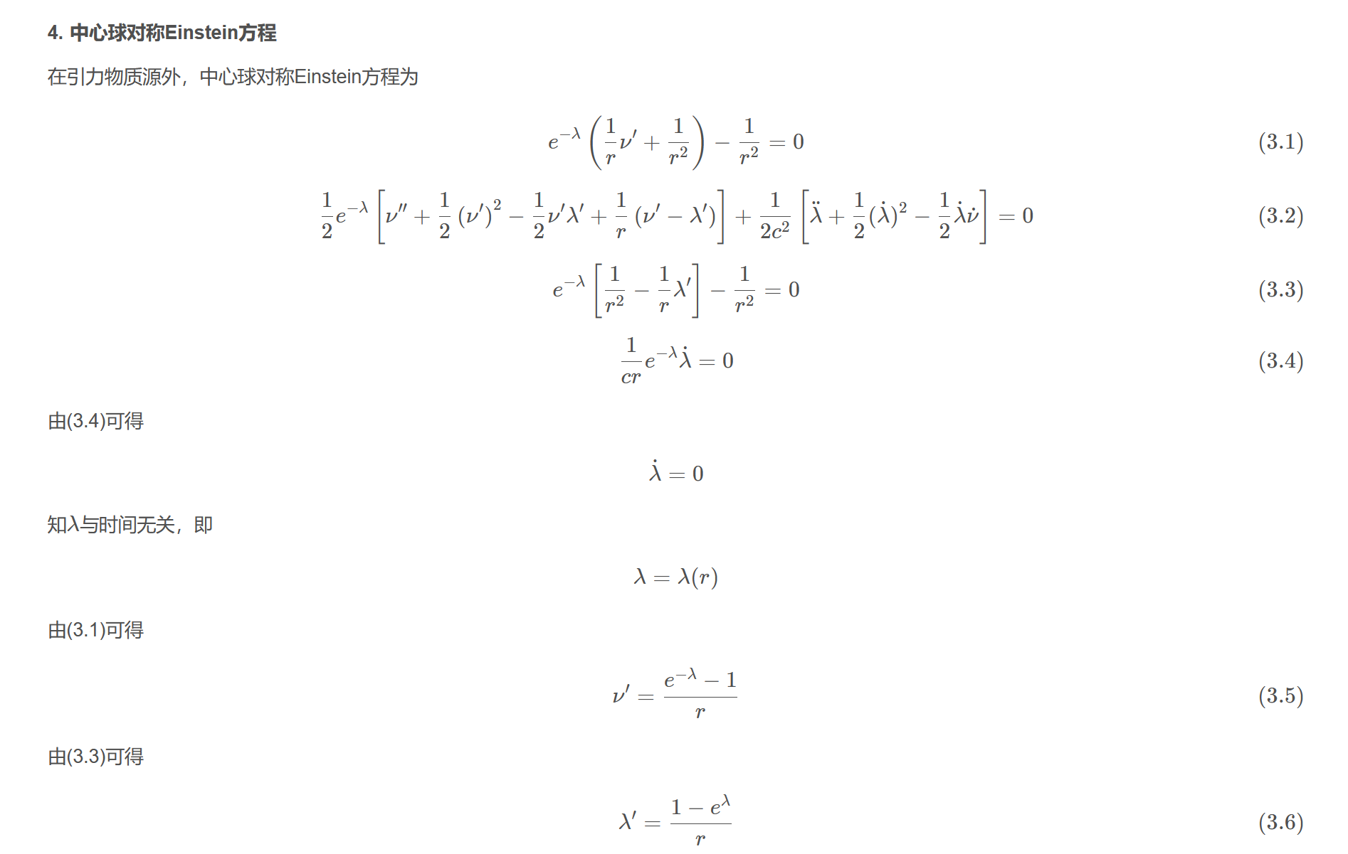
4. 中心球对称Einstein方程
在引力物质源外,中心球对称Einstein方程为
$$e^{-\lambda}\left(\frac{1}{r} \nu^{\prime}+\frac{1}{r^{2}}\right)-\frac{1}{r^{2}}=0\tag{3.1}$$
$$\frac{1}{2} e^{-\lambda}\left[\nu^{\prime \prime}+\frac{1}{2}\left(\nu^{\prime}\right)^{2}-\frac{1}{2} \nu^{\prime} \lambda^{\prime}+\frac{1}{r}\left(\nu^{\prime}-\lambda^{\prime}\right)\right]+\frac{1}{2 c^{2}}\left[\ddot{\lambda}+\frac{1}{2}(\dot{\lambda})^{2}-\frac{1}{2} \dot{\lambda} \dot{\nu}\right]=0\tag{3.2}$$
$$e^{-\lambda}\left[\frac{1}{r^{2}}-\frac{1}{r} \lambda^{\prime}\right]-\frac{1}{r^{2}}=0\tag{3.3}$$
$$\frac{1}{c r} e^{-\lambda} \dot{\lambda}=0\tag{3.4}$$
由(3.4)可得
$$\dot{\lambda}=0$$
知$\lambda$与时间无关,即
$$\lambda=\lambda(r)$$
由(3.1)可得
$$\nu^{\prime}=\frac{e^{-\lambda}-1}{r}\tag{3.5}$$
由(3.3)可得
$$\lambda^{\prime}=\frac{1-e^{\lambda}}{r}\tag{3.6}$$
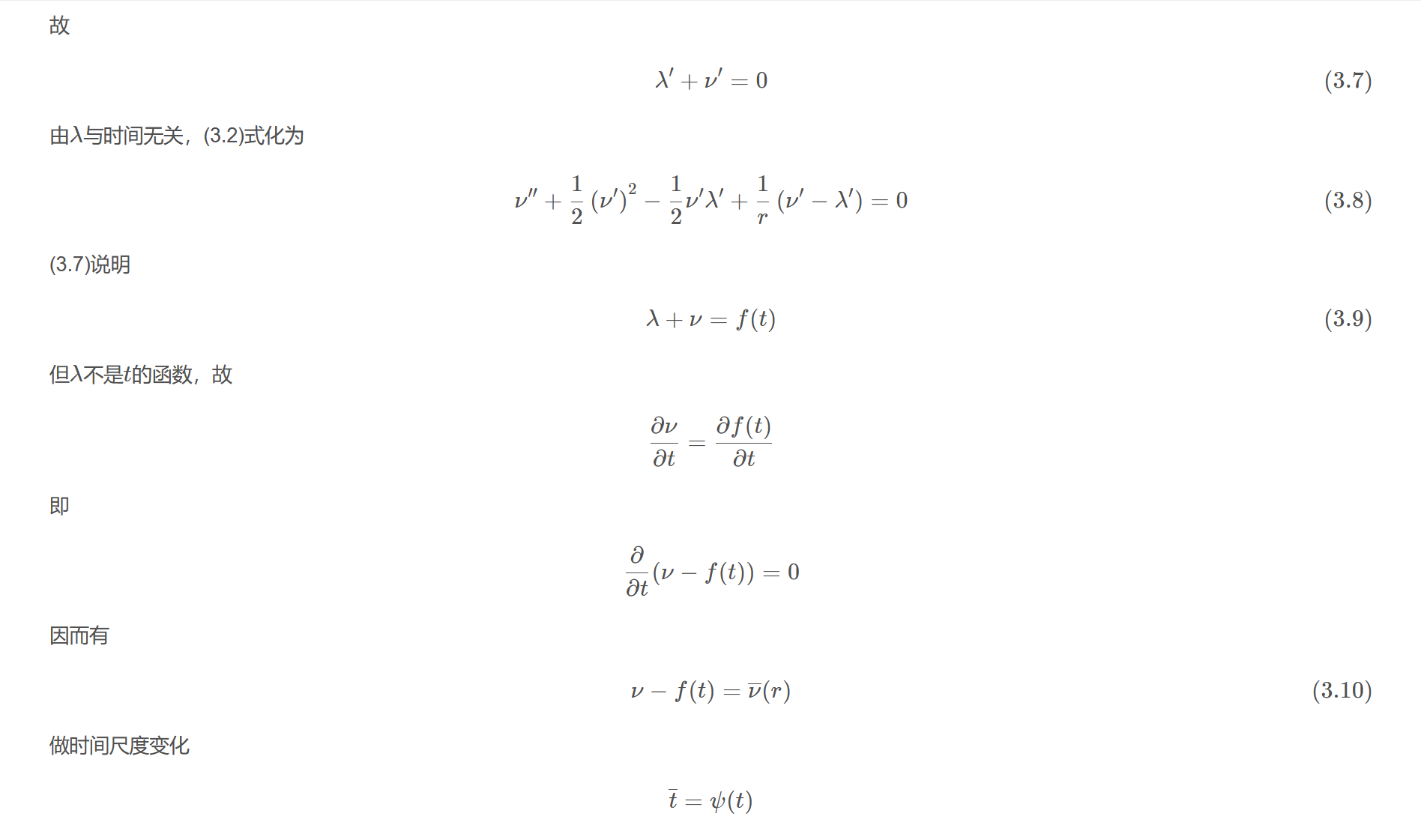
故
$$\lambda^{\prime}+\nu^{\prime}=0\tag{3.7}$$
由$\lambda$与时间无关,(3.2)式化为
$$\nu^{\prime \prime}+\frac{1}{2}\left(\nu^{\prime}\right)^{2}-\frac{1}{2} \nu^{\prime} \lambda^{\prime} + \frac{1}{r}\left(\nu^{\prime}-\lambda^{\prime}\right)=0\tag{3.8}$$
(3.7)说明
$$\lambda+\nu=f(t)\tag{3.9}$$
但$\lambda$不是$t$的函数,故
$$\frac{\partial \nu}{\partial t}=\frac{\partial f(t)}{\partial t}$$
即
$$\frac{\partial}{\partial t}(\nu-f(t))=0$$
因而有
$$\nu-f(t)=\overline{\nu}(r)\tag{3.10}$$
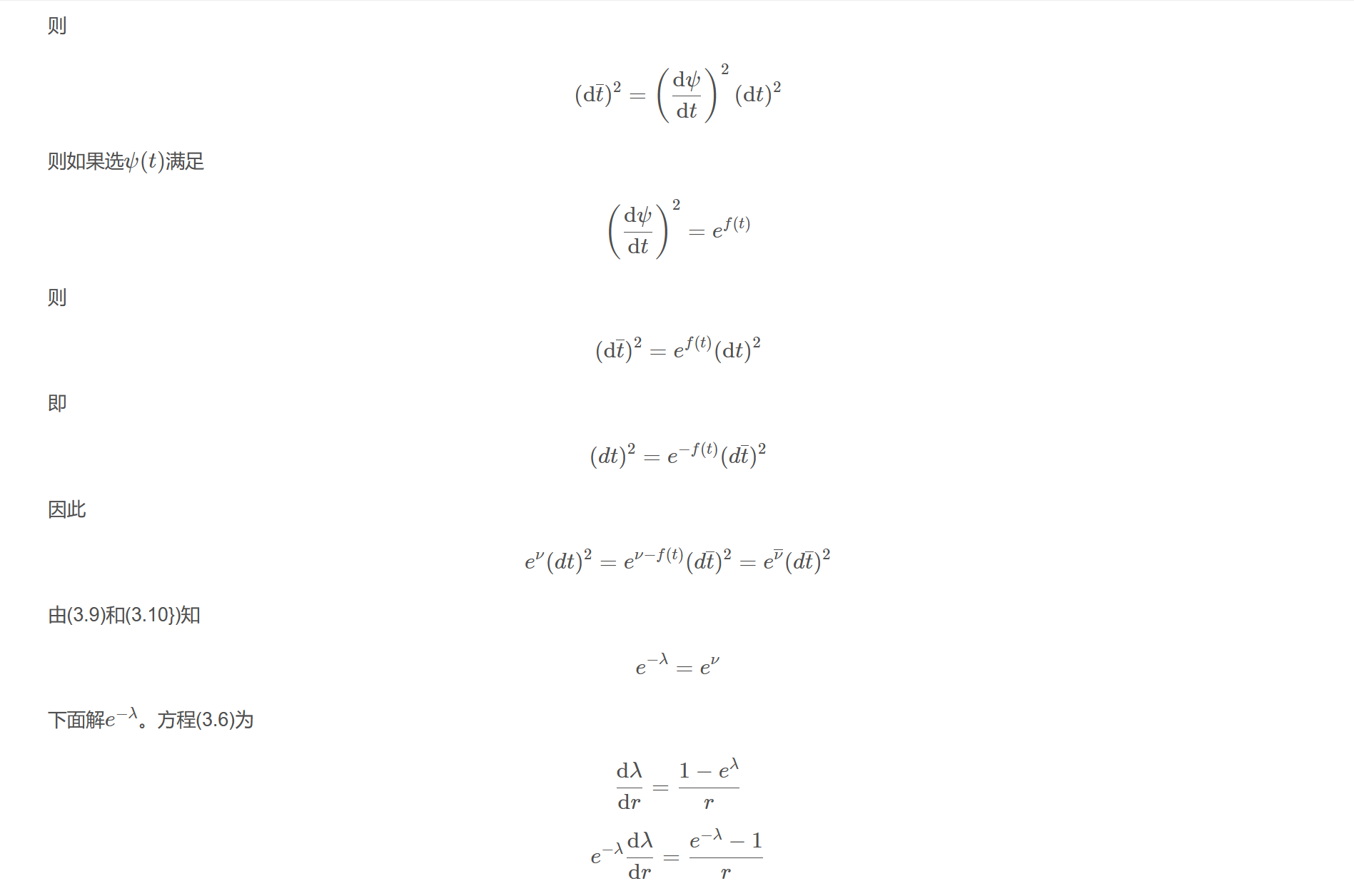
做时间尺度变化
$$\overline{t}=\psi(t)$$
则
$$(\mathrm{d} \overline{t})^{2}=\left(\frac{\mathrm{d} \psi}{\mathrm{d} t}\right)^{2}(\mathrm{d} t)^{2}$$
则如果选$\psi(t)$满足
$$\left(\frac{\mathrm{d} \psi}{\mathrm{d} t}\right)^{2}=e^{f(t)}$$
则
$$(\mathrm{d} \overline{t})^{2}=e^{f(t)}(\mathrm{d} t)^{2}$$
即
$$(d t)^{2}=e^{-f(t)}(d \overline{t})^{2}$$
因此
$$e^{\nu}(d t)^{2}=e^{\nu-f(t)}(d \overline{t})^{2}=e^{\overline{\nu}}(d \overline{t})^{2}$$
由(3.9)和(3.10})知
$$e^{-\lambda}=e^{\nu}$$
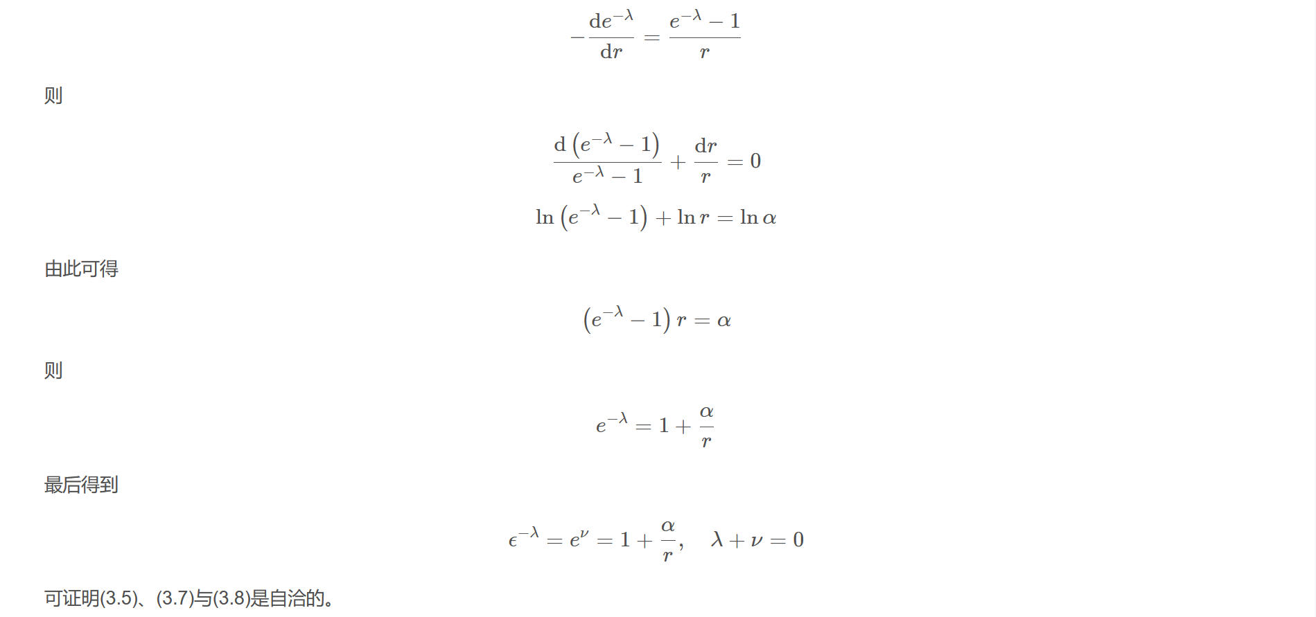
下面解$e^{-\lambda}$。方程(3.6)为
$$\frac{\mathrm{d} \lambda}{\mathrm{d} r}=\frac{1-e^{\lambda}}{r}$$
$$e^{-\lambda} \frac{\mathrm{d} \lambda}{\mathrm{d} r}=\frac{e^{-\lambda}-1}{r}$$
$$-\frac{\mathrm{d} e^{-\lambda}}{\mathrm{d} r}=\frac{e^{-\lambda}-1}{r}$$
则
$$\frac{\mathrm{d}\left(e^{-\lambda}-1\right)}{e^{-\lambda}-1}+\frac{\mathrm{d} r}{r}=0$$
$$\ln \left(e^{-\lambda}-1\right)+\ln r=\ln \alpha$$
由此可得
$$\left(e^{-\lambda}-1\right) r=\alpha$$
则
$$e^{-\lambda}=1+\frac{\alpha}{r}$$
最后得到
$$\epsilon^{-\lambda}=e^{\nu}=1+\frac{\alpha}{r}, \quad \lambda+\nu=0$$
可证明(3.5)、(3.7)与(3.8)是自洽的。
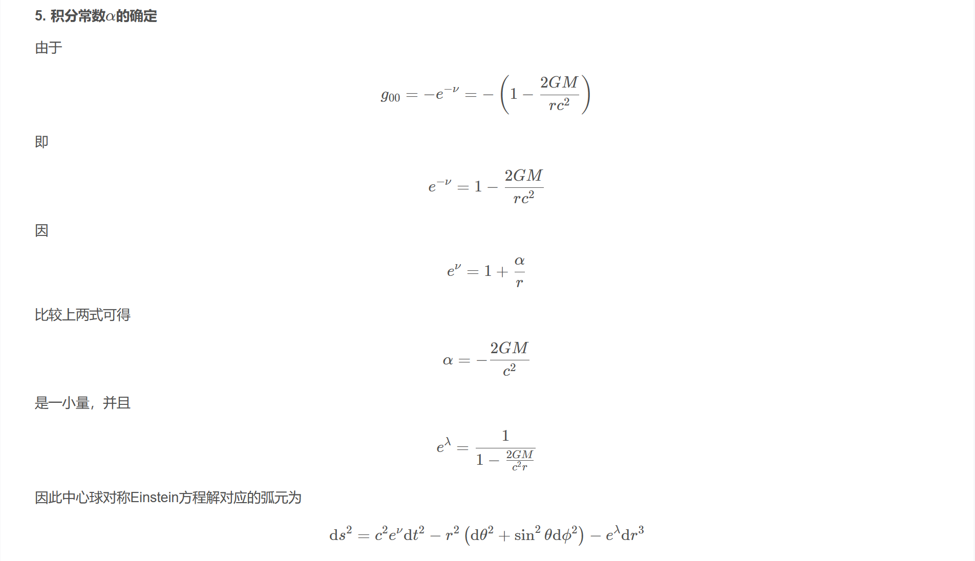
5. 积分常数$\alpha$的确定
由于
$$g_{00}=-e^{-\nu}=-\left(1-\frac{2 G M}{r c^{2}}\right)$$
即
$$e^{-\nu}=1-\frac{2 G M}{r c^{2}}$$
因
$$e^{\nu}=1+\frac{\alpha}{r}$$
比较上两式可得
$$\alpha=-\frac{2 G M}{c^{2}}$$
是一小量,并且
$$e^{\lambda}=\frac{1}{1-\frac{2 G M}{c^{2} r}}$$
因此中心球对称Einstein方程解对应的弧元为
$$\mathrm{d} s^{2}=c^{2} e^{\nu} \mathrm{d} t^{2}-r^{2}\left(\mathrm{d} \theta^{2}+\sin ^{2} \theta \mathrm{d} \phi^{2}\right)-e^{\lambda} \mathrm{d} r^{3}$$
可化为
$$\mathrm{d} s^{2}=c^{2}\left(1-\frac{2 G M}{c^{2} r}\right) \mathrm{d} t^{2}-r^{2}\left(\mathrm{d} \theta^{2}+\sin ^{2} \theta \mathrm{d} \phi^{2}\right)-\frac{1}{1-\frac{2 G M}{c^{2} r}} \mathrm{d} r^{2}$$
1916年Schwarzschild首先求得上述Einstein方程的中心球对称度规解,称为Schwarzschild度规。
$\frac{2GM}{c^{2}}$具有长度量纲,定义
$$r_{S}=\frac{2GM}{c^{2}}$$
$r_{S}$称为Schwarzschild半径。对太阳
$$M_{\odot}=1.991 \times 10^{33}g,\quad r_{\odot}=695700km$$
计算得
$$r_{S}=\frac{2 G M}{c^{2}}=2.9532km$$
$$\frac{r_{S}}{r_{\odot}}=\frac{2 G M}{c^{2} r_{\odot}}=4.245 \times 10^{-6}$$











