登录/注册
质心论坛
物理
数学
化学
生物
搜索记录
登录/注册
物理
数学
化学
生物
Common Modal dialog box title
二次根式的综合运算
数学
二次根式的综合运算
初亏·月
更新于
2025-10-1 12:22:25
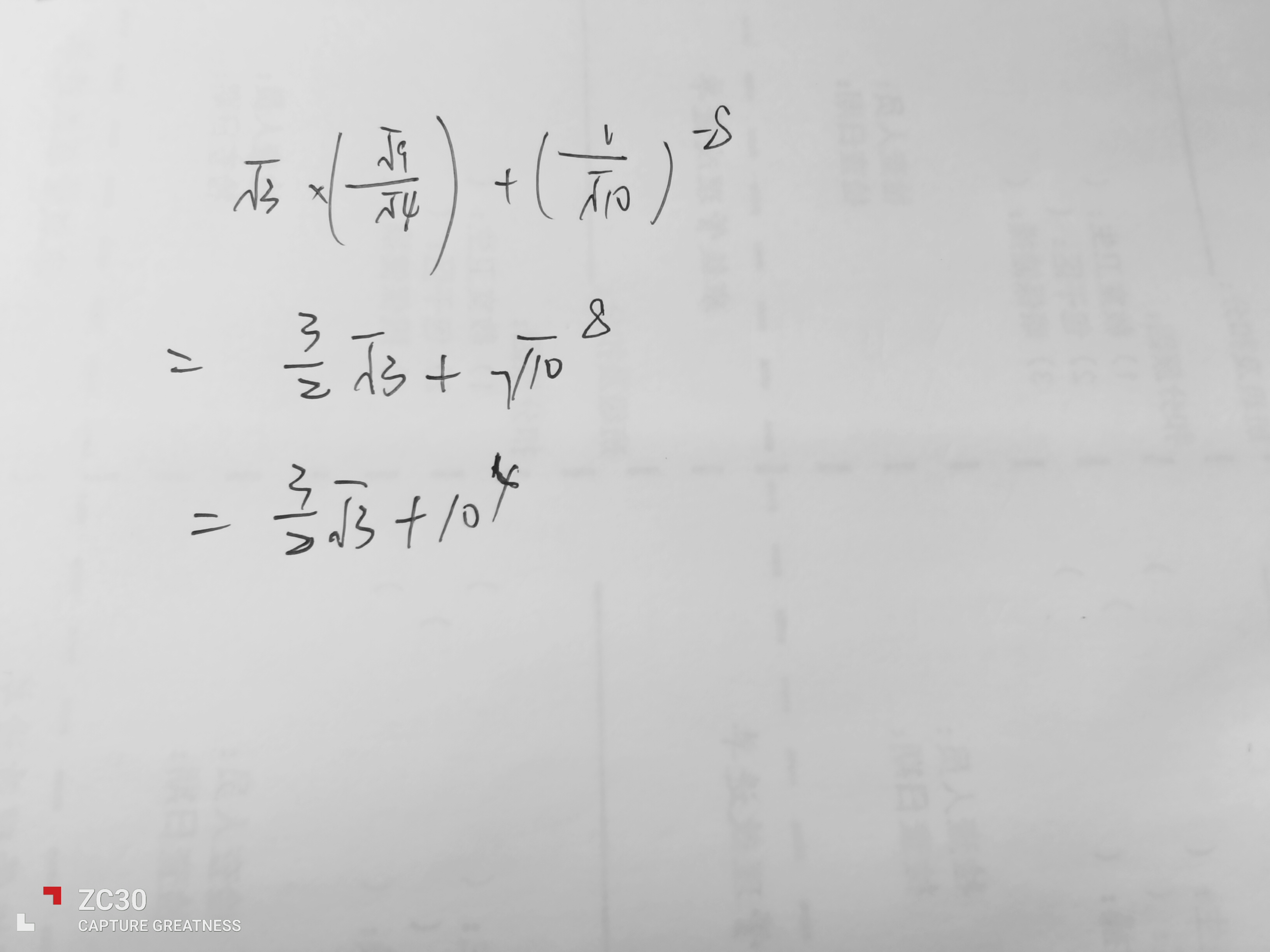
根号3×(根号9÷根号4)+根号10分之1的-8次方怎么算
O-Box
O-Box
进行回复
2
分享
1
举报
删除
收起
收起
2
1
分享
举报
进行回复
共1条回复
时间正序
时间正序
时间倒序
评论最多
Aelora.Y
7月前
2025-10-3 02:47:30
按我的理解这道题应该是这样(建议你下次学下LaTeX,不然直接文字描述可能有歧义,或者直接拍照到论坛)
4
1条评论
收起评论
举报
删除
1条评论
评论
初亏·月
7月前
2025-10-4 13:34:04
好的,谢谢
1
评论
举报
删除
1
提示
登录后才能进行此操作