物理 【广义相对论速成版】1. Riemann几何 1.7 Riemann曲率张量与拓扑
1. 多面体与Euler示性数
Euler在1705年建立了多面体$K$的拓扑不变量,Euler示性数
$$\chi(K)=a_{0}-a_{1}-a_{2}$$
其中,$a_{0}$为顶点数,$a_{1}$为棱数,$a_{2}$为面数。
例如,四面体
$$a_{0}=4,\quad a_{1}=6,\quad a_{2}=4$$
$$\chi=4-6+4=2$$
例如,五面体
$$a_{0}=6,\quad a_{1}=9,\quad a_{2}=5$$
$$\chi=6-9+5=2$$
例如,二维球面$S^{2}$
$$\chi\left(S^{2}\right)=2$$
四面体、五面体与二维球面同胚。
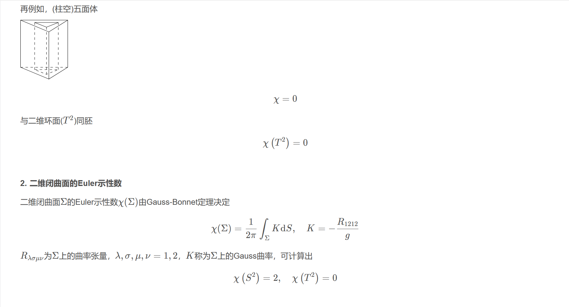
再例如,(柱空)五面体
$$\chi=0$$
与二维环面($T^{2}$)同胚
$$\chi\left(T^{2}\right)=0$$
2. 二维闭曲面的Euler示性数
二维闭曲面$\Sigma$的Euler示性数$\chi(\Sigma)$由Gauss-Bonnet定理决定
$$\chi(\Sigma)=\frac{1}{2\pi}\int_{\Sigma}K\mathrm{d}S,\quad K=-\frac{R_{1212}}{g}$$
$R_{\lambda\sigma\mu\nu}$为$\Sigma$上的曲率张量,$\lambda,\sigma,\mu,\nu=1,2$,$K$称为$\Sigma$上的Gauss曲率,可计算出
$$\chi\left(S^{2}\right)=2,\quad\chi\left(T^{2}\right)=0$$
3. Gauss-Bonnet-Chern定理
陈省身1943年提出,$n=2k$维定向紧流形$M$的Euler示性数是由$n$维Riemann曲率张量$R_{\lambda\sigma\mu\nu},\lambda,\sigma,\mu,\nu=1,2,3,4$决定的。
$$\chi\left(\Sigma\right)=\frac{\left(-1\right)^{\frac{n}{2}}}{2^{n}\left(2\pi\right)^{\frac{n}{2}}\left(\frac{n}{2}\right)!}\int_{\Sigma}\frac{\varepsilon^{a_{1}a_{2}\cdots a_{n}}}{\sqrt{g}}\frac{\varepsilon^{b_{1}b_{2}\cdots b_{n}}}{\sqrt{g}}R_{a_{1}a_{2}b_{1}b_{2}}\cdots R_{a_{n-1}a_{n}b_{n-1}b_{n}}\sqrt{g}\mathrm{d}^{n}U$$



