Ray de问题帖

数学
Ray de问题帖

用户头像
Ray 1439 更新于2025-10-5 02:23:50

我会把我不会的or我觉得有意思的题目(可能对于一些大神来说非常普遍的方法)放到上面来。

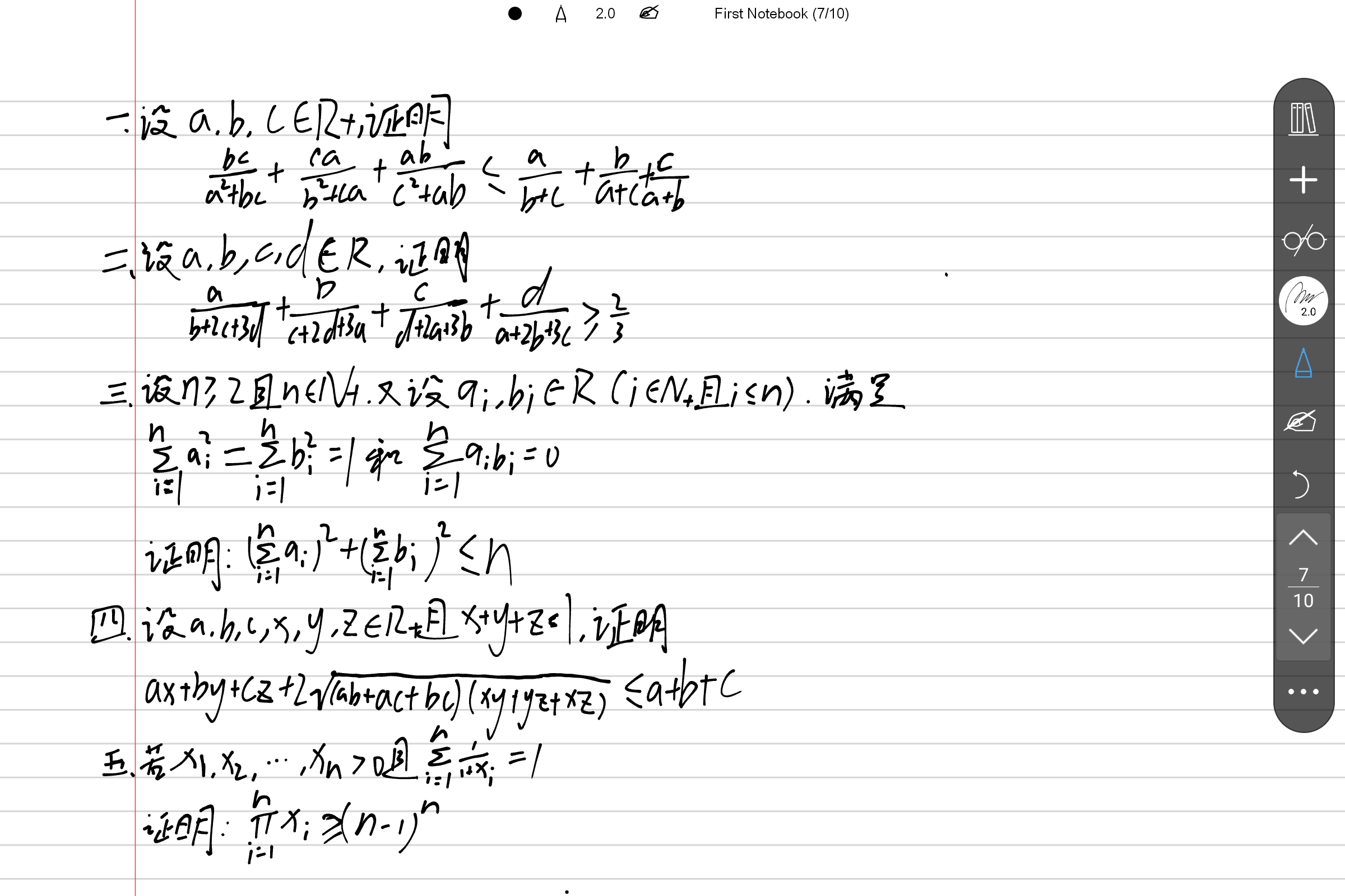
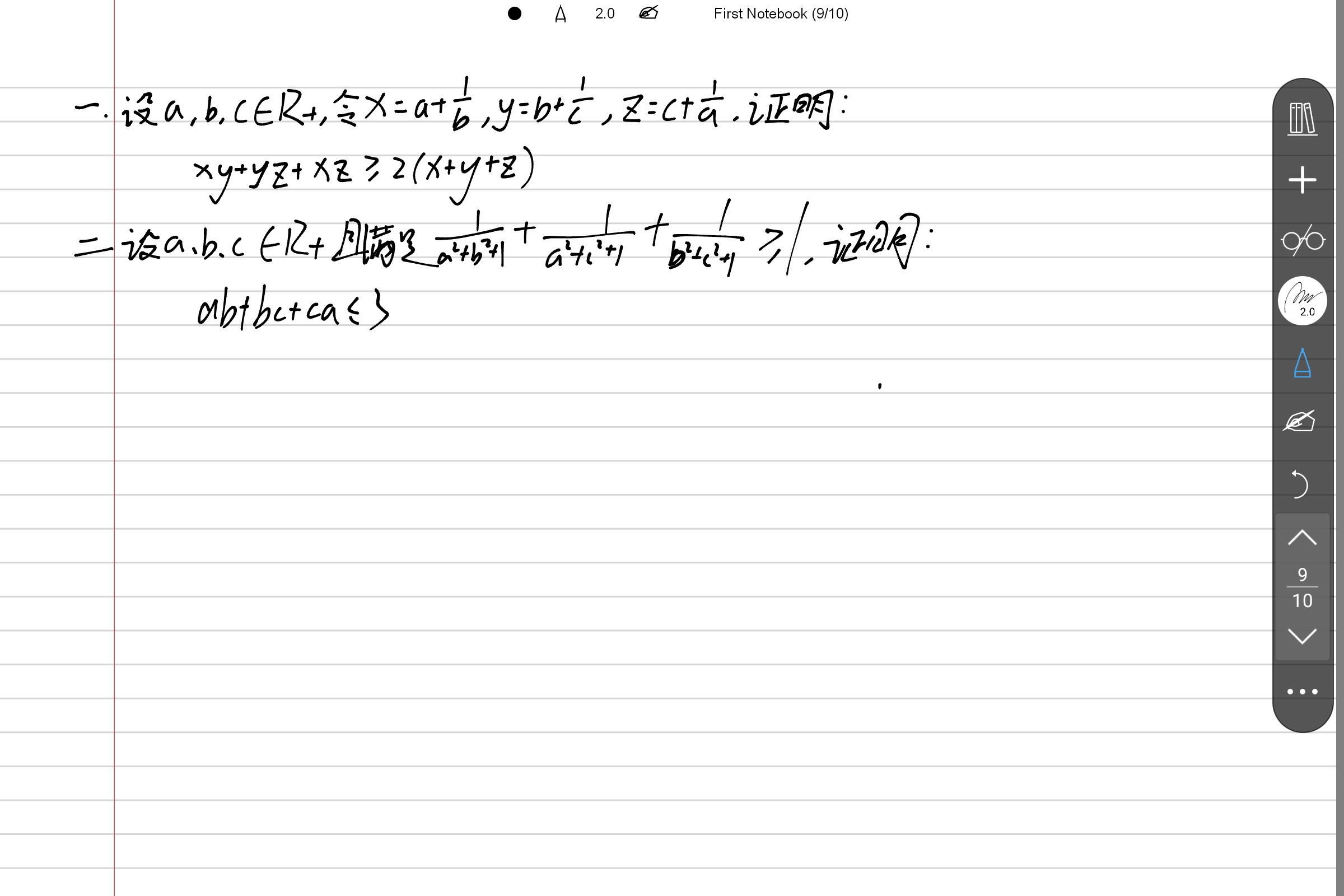
上了一个月了,把我没做出来的题放上来


Screenshot_2025-09-07-08-22-37-942.jpg


Screenshot_2025-10-04-23-30-18-269.jpg

Screenshot_2025-10-05-10-22-45-710.jpg

先放这么多,之后还会有的。


顺手放一道我自己出的题目



IMG_20250828_220936.jpg


IMG_20250828_220945.jpg

(请原谅我字丑)


收起
4
3
共10条回复
时间正序
用户头像
好好学习,天天向上!(雅)
7月前
这好像是小蓝本上的题
8条评论
用户头像
Ray 1439
7月前

这是我们老师布置的暑假作业,我还有十多道这样的题目还没搞😭

用户头像
好好学习,天天向上!(雅) 回复 Ray 1439
7月前

暑假作业布置这个?!

要不要我给你写写这题过程?

用户头像
Ray 1439 回复 好好学习,天天向上!(雅)
7月前

可以可以,谢谢大佬(这私人CD真烦人)

用户头像
Ray 1439 回复 好好学习,天天向上!(雅)
7月前
666,换了种思路再花大半小时就水灵灵地解出来了。
用户头像
好好学习,天天向上!(雅) 回复 Ray 1439
7月前

说说$$$

用户头像
好好学习,天天向上!(雅) 回复 好好学习,天天向上!(雅)
7月前

刚刚考试去了,没看论坛

用户头像
Ray 1439 回复 好好学习,天天向上!(雅)
7月前

首先注意到(其实是计算机注意的)10001=73*137

令Fn=(10^4)^n+(10^4)^(n-1)+···+10^4+1.

①当n为奇数时

就可以相邻两个一组,然后提出公因数10001。(n为1时已经注意到了)

②当n为偶数时

设n=2k

于是注意到Fn=F2k=(Fk)^2-(100F(k-1))^2

于是就证毕了。


题外话:这里许多“注意到”不是装(因为自己被说过)而是我打字太慢了并且相信一句话“读者自证不难”。


用户头像
好好学习,天天向上!(雅) 回复 Ray 1439
7月前

可以,跟书上的证法差不多

用户头像
骆有才
7月前
表达可能有点不得体

Screenshot_2025-08-26-22-54-11-457.jpg

用户头像
Ray 1439
7月前

Screenshot_2025-08-27-08-25-36-573.jpg

放个答案

用户头像
高能
7月前
第一题这是十进制还是二进制
1条评论
用户头像
Ray 1439
7月前

十进制

用户头像
高能
7月前
推广结合AI给出的因式分解

Screenshot_20250827-093020.png

2条评论
用户头像
高能
7月前

@帖主(跟你重名人太多了不敢随便@)

用户头像
Ray 1439 回复 高能
7月前

我也是和你的证法差不多,我的证明写在雅的评论

用户头像
Ray 1439
7月前
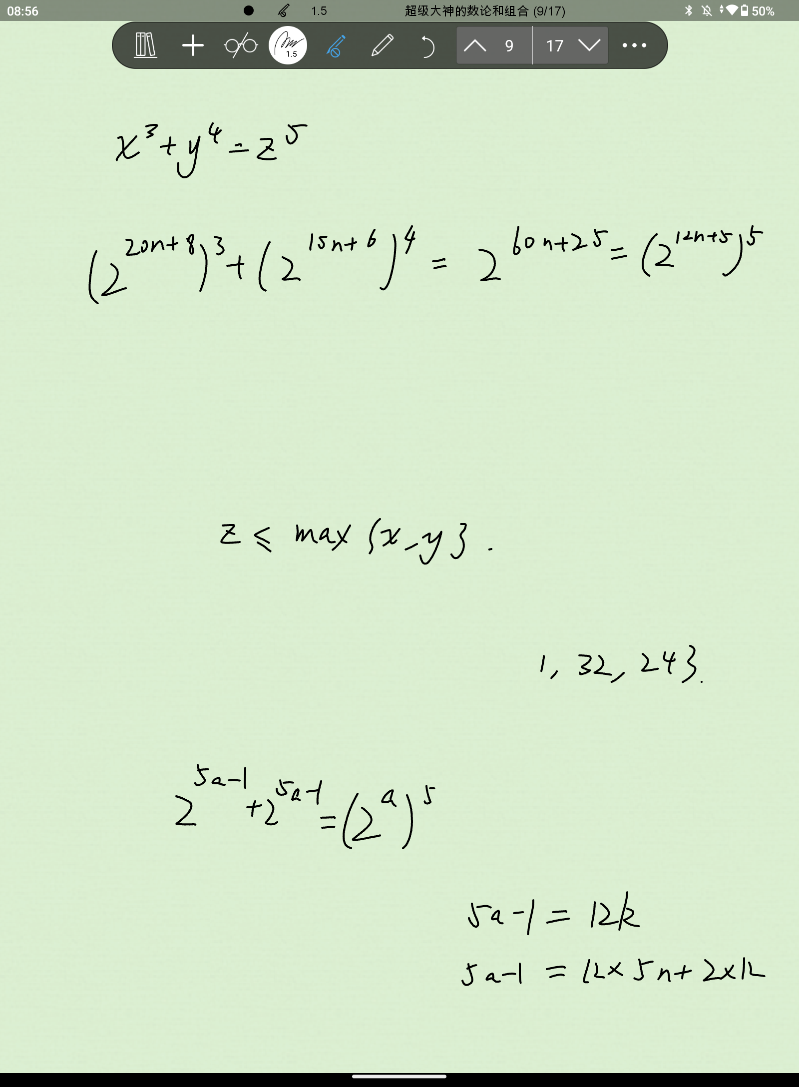
有没有大佬能做一下第三题,不然我的小命不保啊😭(这是我的暑假作业,开学检查,而且数学老师布置的量不大,全是难到没边的题,所以很容易就发现没写完的)
用户头像
高能
7月前
提示一下:考虑(2^(2012!)+?)类型的数,然后用离散介值
1条评论
用户头像
高能
7月前

当然,底数不太重要,取什么无所谓

用户头像
高能
7月前

@Ray 1439 第三题答案

Screenshot_20250827-111213.png

1条评论
用户头像
Ray 1439
7月前

感谢大佬,膜拜大佬

用户头像
好好学习,天天向上!(雅)
7月前

我也绝对不是佬哈,我承认我比幸福健康还菜💦

其次快开学了我有点忙,应该不会看坛了(

2条评论
用户头像
好好学习,天天向上!(雅)
7月前

我只看了那个几何的第一题

设ad,be,cf交bc,ca,ab于p,q,r,

分别过a,b,c往对边作垂线,垂足为x,y,z,

分别过d,e,f往bc,ca,ab做垂线,垂足为u,v,w

然后由条件得到bp/cp *cq/aq *ar/br

以bp和cp为例

bp=bx+xp

cp=cu+up=bu+up

然后ax/xp=du/up

bu/ud=tanα/2

bx=ab*cosb

其他三边同理

全套进去应该最后能化简,不想写了

用户头像
好好学习,天天向上!(雅) 回复 好好学习,天天向上!(雅)
7月前

那个由条件后面那里是=1(塞瓦定理)

而且应该是由结论推出,写错了

用户头像
高能
7月前

Screenshot_20250829-085643.png我咋构造了无穷组,这对吗?@Ray 1439

2条评论
用户头像
高能
7月前

这题有没有要求互素啊什么的?

用户头像
Ray 1439 回复 高能
7月前

昨天出去嗨了一整天,所以没看你的评论

今天刷某乎是发现这是北大2021强基题,看了答案确实是无穷多解