登录/注册
质心论坛
物理
数学
化学
生物
搜索记录
登录/注册
物理
数学
化学
生物
Common Modal dialog box title
求助!!!!
物理
求助!!!!
即未用户5727
更新于
2025-8-17 09:07:01
查看题目
查看题目
该题目暂时无法查看
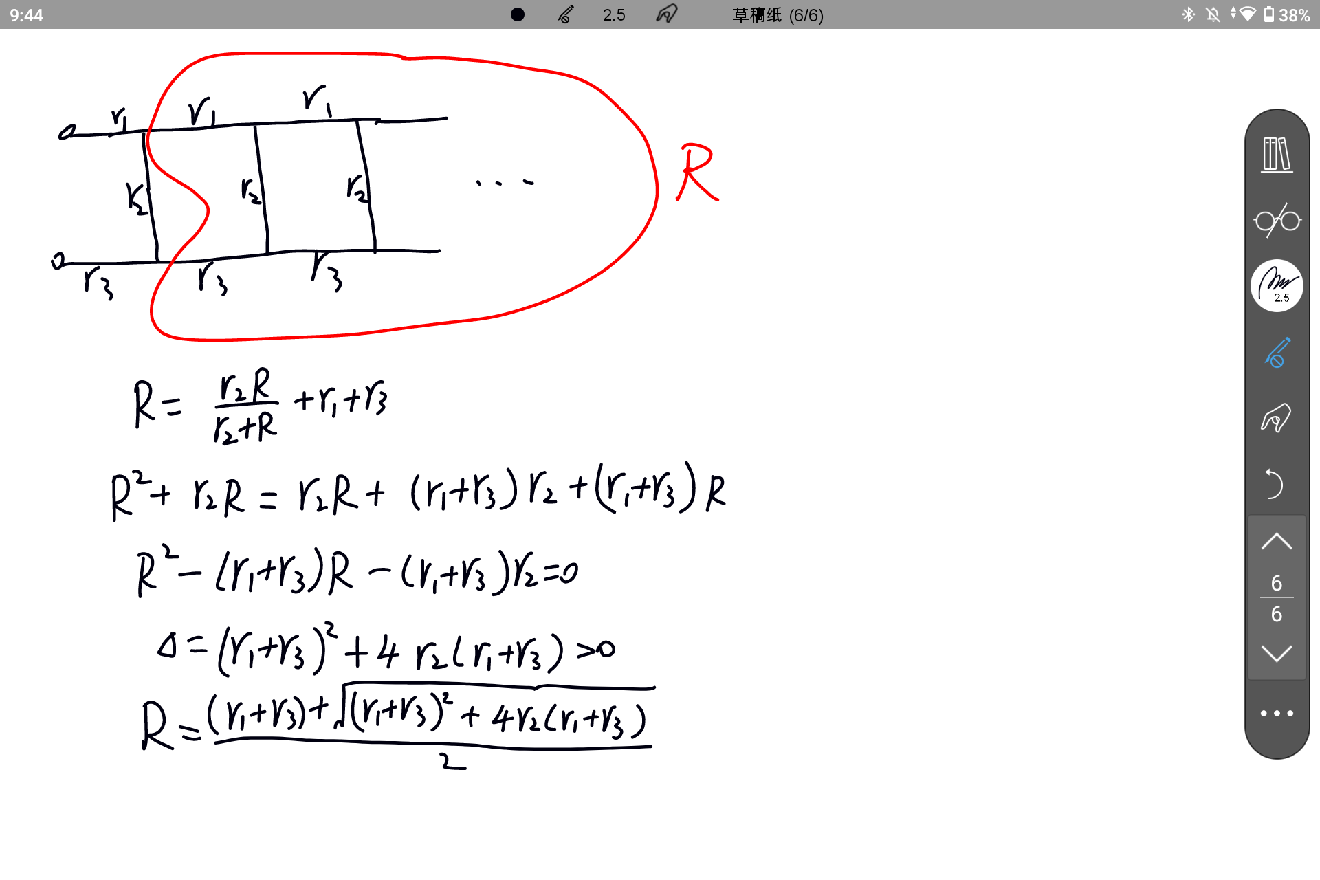
最后一步的计算是不是有问题?
电路-电路化简与等效-题目 ID2105
电路化简与等效
电路
查看题目
查看题目
该题目暂时无法查看
进行回复
1
分享
0
举报
删除
收起
收起
1
0
分享
举报
进行回复
共2条回复
时间正序
时间正序
时间倒序
评论最多
Erwin Schödinger
8月前
2025-8-25 13:45:48
啥有问题,带进去数值就好了
3
评论
收起评论
举报
删除
跳投美如画
8月前
2025-8-25 23:14:42
???哪一步有问题,这好像没问题吧
4
评论
收起评论
举报
删除
提示
登录后才能进行此操作