共16条回复
时间正序
- 时间正序
- 时间倒序
- 评论最多
2条评论 评论
- 1
爱5汉的数物(幸福健康)
4月前
7-9 13:34:33
按道理来说应该求最大,估计是打错了,不行你问问老师
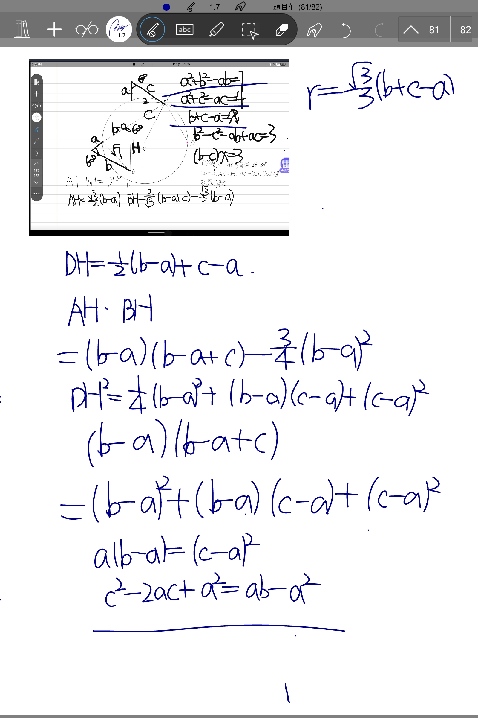
如果硬要就最小值的话直接设角度爆蒜就行了,但是我还是喜欢直接感知在极限处去最小,所以如图

1条评论 评论
4条评论 评论
第07号『摄魂人』
19天前
11-14 15:52:06


投喂给AI解最后一个方程,它告诉我r=1.898。感觉大概率就是我的问题,但还是来投喂一下。
估计还是本本的对一些吧。
我就靠边站了
2条评论 评论
问春花
19天前
11-15 01:17:55
DG垂直AB是位置条件,也就是说DG在AB上左右滑动
那就可以设一个量来确定它的位置,再列方程求解
我觉得可以设DG交AB处的垂足与O距离为x,再加上半径R
可以用x和R把CD和AG表示出来(这个应该会吧,用勾股定理)
然后就有两个方程了
8条评论 评论
5条评论 评论
这是按照六个点佬的方法做的(算得有点乱,我自己都看不太明白
这是找同学要的标准答案,有点吃操作



