物理 【广义相对论速成版】1. Riemann几何 1.4 Riemann流形、度规和Riemann联络(Christoffel符号)
1. Riemann流形
一个流形如果满足下列条件则称为Riemann流形
(1)无挠率$T_{\mu\nu}^{\lambda}=0$
$$\Gamma_{\mu\nu}^{\lambda}=\Gamma_{\nu\mu}^{\lambda}$$
(2)存在决定弧元的度规张量$g_{\mu\nu}$,并存在逆矩阵$g^{\mu\nu}$ (即要求$g=\det(g_{\mu\nu})=\left|g_{\mu\nu}\right|\neq 0$)
$$\mathrm{d}s^{2}=eg_{\mu\nu}\mathrm{d}x^{\mu}\mathrm{d}x^{\nu}~,\qquad e=\pm 1 \qquad \text{保证}\qquad \mathrm{d}s^{2}\geqslant 0$$
(3)$g_{\mu\nu}$的协变微商为零
$$\nabla_{\lambda}g_{\mu\nu}=0$$
2. 度规张量
$$\mathrm{d}s^{2}=eg_{\mu\nu}\mathrm{d}x^{\mu}\mathrm{d}x^{\nu}~,\qquad e=\pm 1 \qquad \text{保证}\qquad \mathrm{d}s^{2}\geqslant 0$$
要求
$$g_{\mu\nu}=g_{\nu\mu}$$
当$g=\det(g_{\mu\nu})=|g_{\mu\nu}|\neq 0$时,存在逆矩阵$g^{\mu\nu}$,且有
$$g^{\mu\nu}g_{\nu\lambda}=\delta_{\lambda}^{\mu}$$
设$\phi_{\lambda}$和$\phi^{\lambda}$分别是协变矢量和逆变矢量,可用度规来升降指标
$$\phi^{\lambda}=g^{\lambda\mu}\phi_{\mu}$$
$$\phi_{\lambda}=g_{\lambda\mu}\phi^{\mu}$$
且$\phi^{\lambda}$的模方由下式确定
$$\phi^{2}=eg_{\mu\nu}\phi^{\mu}\phi^{\nu}=\phi^{\mu}\phi_{\mu}$$
$$\phi^{2}=eg^{\mu\nu}\phi_{\mu}\phi_{\nu}=\phi_{\mu}\phi^{\mu}$$
3. Riemann联络(Christoffel符号)
由$\left\{\begin{aligned}\text{1.}~&\nabla_{\sigma}g_{\mu\nu}=0\\ \text{2.}~&\Gamma_{\mu\nu}^{\sigma}=\Gamma_{\nu\mu}^{\sigma}\end{aligned}\right.$求得的联络$\Gamma_{\mu\nu}^{\sigma}$称为\textbf{Riemann联络},或者\textbf{Christoffel符号}。
得
$$\nabla_{\sigma}g_{\mu\nu}=\partial_{\sigma}g_{\mu\nu}-\Gamma_{\sigma\mu}^{\lambda}g_{\lambda\nu}-\Gamma_{\sigma\nu}^{\lambda}g_{\mu\lambda}=0$$
得
$$\partial_{\sigma}g_{\mu\nu}=\Gamma_{\sigma\mu}^{\lambda}g_{\lambda\nu}+\Gamma_{\sigma\nu}^{\lambda}g_{\mu\lambda}$$
定义$\Gamma_{\nu,\sigma\mu}=g_{\lambda\nu}\Gamma_{\sigma\mu}^{\lambda}$,并由$\Gamma_{\sigma\mu}^{\lambda}=\Gamma_{\mu\sigma}^{\lambda}$得
$$\Gamma_{\nu,\sigma\mu}=\Gamma_{\nu,\mu\sigma}$$
则有
$$\partial_{\sigma}g_{\mu\nu}=\Gamma_{\nu,\sigma\mu}+\Gamma_{\mu,\sigma\nu}\tag{1.4.1}$$
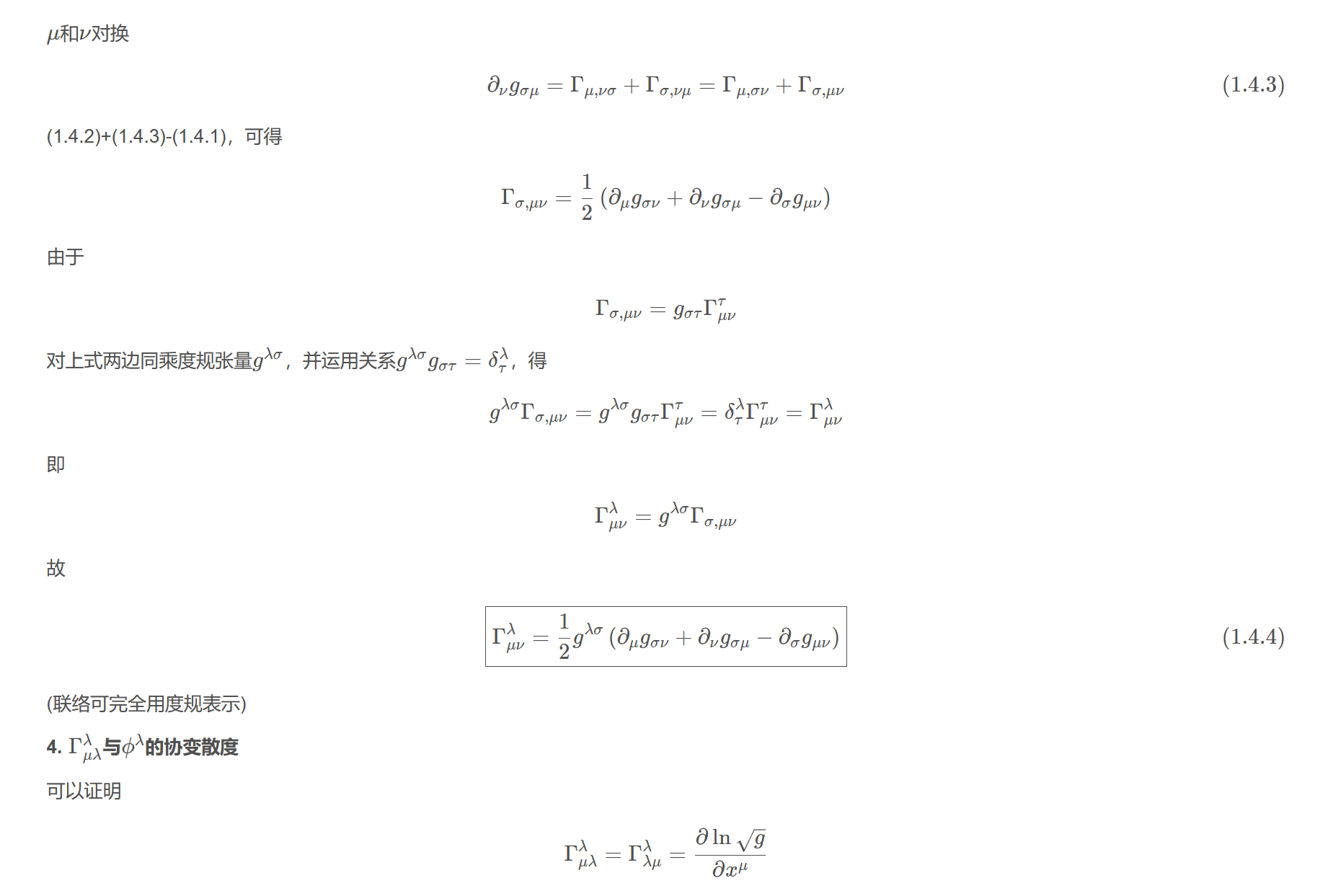
$\sigma$和$\mu$对换
$$\partial_{\mu}g_{\sigma\nu}=\Gamma_{\nu,\mu\sigma}+\Gamma_{\sigma,\mu\nu}=\Gamma_{\nu,\sigma\mu}+\Gamma_{\sigma,\mu\nu}\tag{1.4.2}$$
$\mu$和$\nu$对换
$$\partial_{\nu}g_{\sigma\mu}=\Gamma_{\mu,\nu\sigma}+\Gamma_{\sigma,\nu\mu}=\Gamma_{\mu,\sigma\nu}+\Gamma_{\sigma,\mu\nu}\tag{1.4.3}$$
(1.4.2)+(1.4.3)-(1.4.1),可得
$$\Gamma_{\sigma,\mu\nu}=\frac{1}{2}\left(\partial_{\mu}g_{\sigma\nu}+\partial_{\nu}g_{\sigma\mu}-\partial_{\sigma}g_{\mu\nu}\right)$$
由于
$$\Gamma_{\sigma,\mu\nu}=g_{\sigma\tau}\Gamma_{\mu\nu}^{\tau}$$
对上式两边同乘度规张量$g^{\lambda\sigma}$,并运用关系$g^{\lambda\sigma}g_{\sigma\tau}=\delta_{\tau}^{\lambda}$,得
$$g^{\lambda\sigma}\Gamma_{\sigma,\mu\nu}=g^{\lambda\sigma}g_{\sigma\tau}\Gamma_{\mu\nu}^{\tau}=\delta_{\tau}^{\lambda}\Gamma_{\mu\nu}^{\tau}=\Gamma_{\mu\nu}^{\lambda}$$
即
$$\Gamma_{\mu\nu}^{\lambda}=g^{\lambda\sigma}\Gamma_{\sigma,\mu\nu}$$
故
$$\boxed{\Gamma_{\mu\nu}^{\lambda}=\frac{1}{2}g^{\lambda\sigma}\left(\partial_{\mu}g_{\sigma\nu}+\partial_{\nu}g_{\sigma\mu}-\partial_{\sigma}g_{\mu\nu}\right)}\tag{1.4.4}$$
(联络可完全用度规表示)
4. $\Gamma_{\mu\lambda}^{\lambda}$与$\phi^{\lambda}$的协变散度
可以证明
$$\Gamma_{\mu\lambda}^{\lambda}=\Gamma_{\lambda\mu}^{\lambda}=\frac{\partial\ln\sqrt{g}}{\partial x^{\mu}}$$
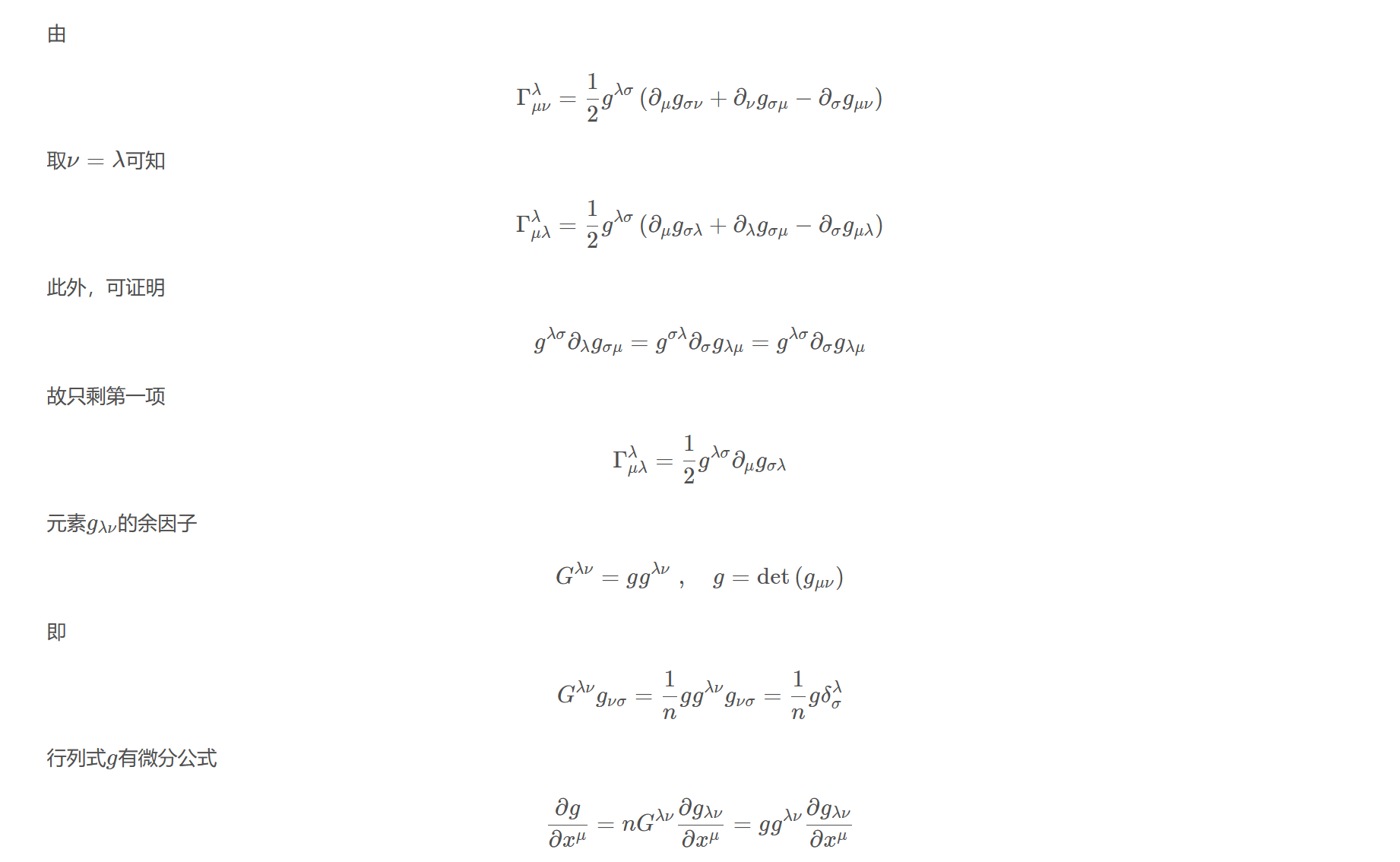
由
$$\Gamma_{\mu\nu}^{\lambda}=\frac{1}{2}g^{\lambda\sigma}\left(\partial_{\mu}g_{\sigma\nu}+\partial_{\nu}g_{\sigma\mu}-\partial_{\sigma}g_{\mu\nu}\right)$$
取$\nu=\lambda$可知
$$\Gamma_{\mu\lambda}^{\lambda}=\frac{1}{2}g^{\lambda\sigma}\left(\partial_{\mu}g_{\sigma\lambda}+\partial_{\lambda}g_{\sigma\mu}-\partial_{\sigma}g_{\mu\lambda}\right)$$
此外,可证明
$$g^{\lambda\sigma}\partial_{\lambda}g_{\sigma\mu}=g^{\sigma\lambda}\partial_{\sigma}g_{\lambda\mu}=g^{\lambda\sigma}\partial_{\sigma}g_{\lambda\mu}$$
故只剩第一项
$$\Gamma_{\mu\lambda}^{\lambda}=\frac{1}{2}g^{\lambda\sigma}\partial_{\mu}g_{\sigma\lambda}$$
元素$g_{\lambda\nu}$的余因子
$$G^{\lambda\nu}=gg^{\lambda\nu}~,\quad g=\det\left(g_{\mu\nu}\right)$$
即
$$G^{\lambda\nu}g_{\nu\sigma}=\frac{1}{n}gg^{\lambda\nu}g_{\nu\sigma}=\frac{1}{n}g\delta_{\sigma}^{\lambda}$$
行列式$g$有微分公式
$$\frac{\partial g}{\partial x^{\mu}}=nG^{\lambda\nu}\frac{\partial g_{\lambda\nu}}{\partial x^{\mu}}=gg^{\lambda\nu}\frac{\partial g_{\lambda\nu}}{\partial x^{\mu}}$$
故有
$$\frac{\partial\ln g}{\partial x^{\mu}}=\frac{1}{g}\frac{\partial g}{\partial x^{\mu}}=g^{\lambda\nu}\frac{\partial g_{\lambda\nu}}{\partial x^{\mu}}$$
则
$$\Gamma_{\mu\lambda}^{\lambda}=\frac{1}{2}g^{\lambda\sigma}\partial_{\mu}g_{\sigma\lambda}=\frac{1}{2}\frac{\partial\ln g}{\partial x^{\mu}}$$
即
$$\boxed{\Gamma_{\mu\lambda}^{\lambda}=\frac{\partial\ln \sqrt{g}}{\partial x^{\mu}}}$$
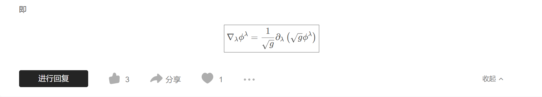
由于
$$\nabla_{\mu}\phi^{\lambda}=\partial_{\mu}\phi^{\lambda}+\Gamma_{\mu\nu}^{\lambda}\phi^{\nu}$$
则$\phi^{\lambda}$的协变散度
$$\begin{aligned}\nabla_{\lambda}\phi^{\lambda}&=\partial_{\lambda}\phi^{\lambda}+\Gamma_{\lambda\nu}^{\lambda}\phi^{\nu}\\&=\partial_{\lambda}\phi^{\lambda}+\frac{\partial(\ln\sqrt{g})}{\partial x^{\nu}}\phi^{\nu}=\partial_{\lambda}\phi^{\lambda}+\partial_{\nu}(\ln\sqrt{g})\phi^{\nu}\\&=\partial_{\lambda}\phi^{\lambda}+\left(\frac{1}{\sqrt{g}}\partial_{\lambda}\sqrt{g}\right)\phi^{\lambda}\\&=\frac{1}{\sqrt{g}}\sqrt{g}\partial_{\lambda}\phi^{\lambda}+\frac{1}{\sqrt{g}}\left(\partial_{\lambda}\sqrt{g}\right)\phi^{\lambda}\\&=\frac{1}{\sqrt{g}}\left(\sqrt{g}\partial_{\lambda}\phi^{\lambda}+\left(\partial_{\lambda}\sqrt{g}\right)\phi^{\lambda}\right)\\&=\frac{1}{\sqrt{g}}\partial_{\lambda}\left(\sqrt{g}\phi^{\lambda}\right)\end{aligned}$$
即
$$\boxed{\nabla_{\lambda}\phi^{\lambda}=\frac{1}{\sqrt{g}}\partial_{\lambda}\left(\sqrt{g}\phi^{\lambda}\right)}$$





