物理 【广义相对论速成版】1. Riemann几何 1.2 协变微商
1. 逆变矢量的协变微商
设$\phi^{\lambda}$为逆变矢量,则其满足逆变矢量的变换规律
$$\phi^{\prime\lambda}=A_{\gamma}^{\lambda}\phi^{\gamma}\tag{1.2.1}$$
由于$A_{\gamma}^{\lambda}$是$x$的函数,它对于普通偏微商$\frac{\partial}{\partial x^{\mu}}$不再是张量,即:$\frac{\partial \phi^{\lambda}}{\partial x^{\mu}}$不再是张量。但可以引入协变微分算符$\nabla_{\mu}$
$$\boxed{\nabla_{\mu}\phi^{\lambda}=\frac{\partial\phi^{\lambda}}{\partial x^{\mu}}+\Gamma_{\mu\nu}^{\lambda}\phi^{\nu}}\tag{1.2.2}$$
使得$\nabla_{\mu}\phi^{\lambda}$具有张量特征。其中,$\Gamma_{\mu\nu}^{\lambda}$称为流形上的\textbf{联络(Connection)},它不是张量,但使$\nabla_{\mu}\phi^{\lambda}$构成一个$\phi_{\mu}^{\lambda}(x)$形式的混合张量,即:$\nabla_{\mu}\phi^{\lambda}$的变换规律为
$$\nabla_{\mu}^{\prime}\phi^{\prime \lambda}=\overline{A}_{\mu}^{\alpha}A_{\gamma}^{\lambda}\nabla_{\alpha}\phi^{\gamma}\tag{1.2.3}$$
由于
$$\nabla_{\mu}^{\prime}\phi^{\prime \lambda}=\frac{\partial\phi^{\prime\lambda}}{\partial\overline{x}^{\mu}}+\Gamma_{\mu\nu}^{\prime\lambda}\phi^{\prime\nu}\tag{1.2.4}$$
将$\phi^{\prime\lambda}=A_{\gamma}^{\lambda}\phi^{\gamma}$代入上式,并且
$$\frac{\partial}{\partial \overline{x}^{\mu}}=\overline{A}_{\mu}^{\alpha}\frac{\partial}{\partial x^{\alpha}}$$
则
$$\begin{aligned}\nabla_{\mu}^{\prime}\phi^{\prime\lambda}&=\overline{A}_{\mu}^{\alpha}\frac{\partial}{\partial x^{\alpha}}\left(A_{\gamma}^{\lambda}\phi^{\gamma}\right)+\Gamma_{\mu\nu}^{\prime\lambda}A_{\beta}^{\nu}\phi^{\beta}\\&=\overline{A}_{\mu}^{\alpha}\frac{\partial A_{\gamma}^{\lambda}}{\partial x^{\alpha}}\phi^{\gamma}+\overline{A}_{\mu}^{\alpha}A_{\gamma}^{\lambda}\frac{\partial \phi^{\gamma}}{\partial x^{\alpha}}+\Gamma_{\mu\nu}^{\prime\lambda}A_{\beta}^{\nu}\phi^{\beta}\end{aligned}\tag{1.2.5}$$
但从(1.2.3)
$$\begin{aligned}\nabla_{\mu}^{\prime}\phi^{\prime\lambda}&=\overline{A}_{\mu}^{\alpha}A_{\gamma}^{\lambda}\nabla_{\alpha}\phi^{\gamma}\\&=\overline{A}_{\mu}^{\alpha}A_{\gamma}^{\lambda}\left(\frac{\partial \phi^{\gamma}}{\partial x^{\alpha}}+\Gamma_{\alpha\beta}^{\gamma}\phi^{\beta}\right)\\&=\overline{A}_{\mu}^{\alpha}A_{\gamma}^{\lambda}\frac{\partial \phi^{\gamma}}{\partial x^{\alpha}}+\overline{A}_{\mu}^{\alpha}A_{\gamma}^{\lambda}\Gamma_{\alpha\beta}^{\gamma}\phi^{\beta}\end{aligned}\tag{1.2.6}$$
将(1.2.5)与(1.2.6)比较可得
$$\begin{aligned}\overline{A}_{\mu}^{\alpha}\frac{\partial A_{\gamma}^{\lambda}}{\partial x^{\alpha}}\phi^{\gamma}+\overline{A}_{\mu}^{\alpha}A_{\gamma}^{\lambda}\frac{\partial \phi^{\gamma}}{\partial x^{\alpha}}+\Gamma_{\mu\nu}^{\prime\lambda}A_{\beta}^{\nu}\phi^{\beta}&=\overline{A}_{\mu}^{\alpha}A_{\gamma}^{\lambda}\frac{\partial \phi^{\gamma}}{\partial x^{\alpha}}+\overline{A}_{\mu}^{\alpha}A_{\gamma}^{\lambda}\Gamma_{\alpha\beta}^{\gamma}\phi^{\beta}\\\overline{A}_{\mu}^{\alpha}\frac{\partial A_{\gamma}^{\lambda}}{\partial x^{\alpha}}\phi^{\gamma}+\Gamma_{\mu\nu}^{\prime\lambda}A_{\beta}^{\nu}\phi^{\beta}&=\overline{A}_{\mu}^{\alpha}A_{\gamma}^{\lambda}\Gamma_{\alpha\beta}^{\gamma}\phi^{\beta}\end{aligned}$$
将等号左边第一项的指标$\lambda\to\beta$得
$$\begin{aligned}\overline{A}_{\mu}^{\alpha}\frac{\partial A_{\beta}^{\lambda}}{\partial x^{\alpha}}\phi^{\beta}+\Gamma_{\mu\nu}^{\prime\lambda}A_{\beta}^{\nu}\phi^{\beta}&=\overline{A}_{\mu}^{\alpha}A_{\gamma}^{\lambda}\Gamma_{\alpha\beta}^{\gamma}\phi^{\beta}\\\Gamma_{\mu\nu}^{\prime\lambda}A_{\beta}^{\nu}\phi^{\beta}&=\overline{A}_{\mu}^{\alpha}A_{\gamma}^{\lambda}\Gamma_{\alpha\beta}^{\gamma}\phi^{\beta}-\overline{A}_{\mu}^{\alpha}\frac{\partial A_{\beta}^{\lambda}}{\partial x^{\alpha}}\phi^{\beta}\end{aligned}$$
故
$$\Gamma_{\mu\nu}^{\prime\lambda}A_{\beta}^{\nu}=\overline{A}_{\mu}^{\alpha}A_{\gamma}^{\lambda}\Gamma_{\alpha\beta}^{\gamma}-\overline{A}_{\mu}^{\alpha}\frac{\partial A_{\beta}^{\lambda}}{\partial x^{\alpha}}$$
将上式乘$\overline{A}_{\sigma}^{\beta}$
$$\begin{aligned}\Gamma_{\mu\nu}^{\prime\lambda}A_{\beta}^{\nu}\overline{A}_{\sigma}^{\beta}&=\overline{A}_{\mu}^{\alpha}A_{\gamma}^{\lambda}\Gamma_{\alpha\beta}^{\gamma}\overline{A}_{\sigma}^{\beta}-\overline{A}_{\mu}^{\alpha}\frac{\partial A_{\beta}^{\lambda}}{\partial x^{\alpha}}\overline{A}_{\sigma}^{\beta}\\\Gamma_{\mu\nu}^{\prime\lambda}A_{\beta}^{\nu}\overline{A}_{\sigma}^{\beta}&=\overline{A}_{\mu}^{\alpha}\overline{A}_{\sigma}^{\beta}A_{\gamma}^{\lambda}\Gamma_{\alpha\beta}^{\gamma}-\overline{A}_{\mu}^{\alpha}\overline{A}_{\sigma}^{\beta}\frac{\partial A_{\beta}^{\lambda}}{\partial x^{\alpha}}\end{aligned}$$
并利用
$$A_{\beta}^{\nu}\overline{A}_{\sigma}^{\beta}=\delta_{\sigma}^{\nu}$$
则
$$\boxed{\Gamma_{\mu\sigma}^{\prime\lambda}=\overline{A}_{\mu}^{\alpha}\overline{A}_{\sigma}^{\beta}A_{\gamma}^{\lambda}\Gamma_{\alpha\beta}^{\gamma}-\overline{A}_{\mu}^{\alpha}\overline{A}_{\sigma}^{\beta}\frac{\partial A_{\beta}^{\lambda}}{\partial x^{\alpha}}}\tag{1.2.7}$$
对
$$\overline{A}_{\sigma}^{\beta}A_{\beta}^{\lambda}=\delta_{\sigma}^{\lambda}$$
两边取$\frac{\partial}{\partial x^{\alpha}}$可得
$$\overline{A}_{\sigma}^{\beta}\frac{\partial A_{\beta}^{\lambda}}{\partial x^{\alpha}}+\frac{\partial \overline{A}_{\sigma}^{\beta}}{\partial x^{\alpha}}A_{\beta}^{\lambda}=0$$
将上式代入(1.2.7)可得联络的变换关系
$$\Gamma_{\mu\sigma}^{\prime\lambda}=\overline{A}_{\mu}^{\alpha}\overline{A}_{\sigma}^{\beta}A_{\gamma}^{\lambda}\Gamma_{\alpha\beta}^{\gamma}+\overline{A}_{\mu}^{\alpha}A_{\beta}^{\lambda}\frac{\partial \overline{A}_{\sigma}^{\beta}}{\partial x^{\alpha}}$$
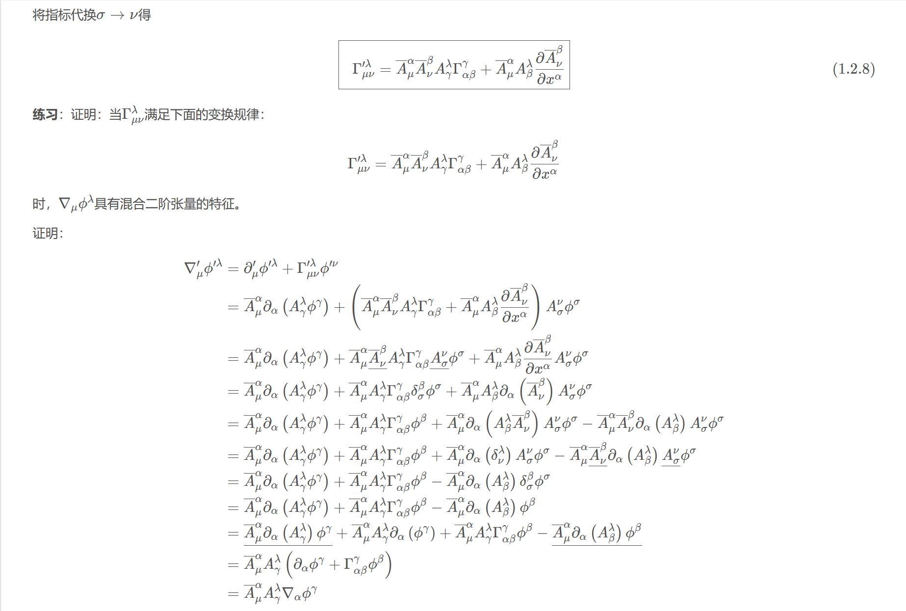
将指标代换$\sigma\to\nu$得
$$\boxed{ \Gamma_{\mu\nu}^{\prime\lambda}=\overline{A}_{\mu}^{\alpha}\overline{A}_{\nu}^{\beta}A_{\gamma}^{\lambda}\Gamma_{\alpha\beta}^{\gamma}+\overline{A}_{\mu}^{\alpha}A_{\beta}^{\lambda}\frac{\partial \overline{A}_{\nu}^{\beta}}{\partial x^{\alpha}}}\tag{1.2.8}$$
练习:证明:当$\Gamma_{\mu\nu}^{\lambda}$满足下面的变换规律:
$$\Gamma_{\mu\nu}^{\prime\lambda}=\overline{A}_{\mu}^{\alpha}\overline{A}_{\nu}^{\beta}A_{\gamma}^{\lambda}\Gamma_{\alpha\beta}^{\gamma}+\overline{A}_{\mu}^{\alpha}A_{\beta}^{\lambda}\frac{\partial \overline{A}_{\nu}^{\beta}}{\partial x^{\alpha}}$$
时,$\nabla_{\mu}\phi^{\lambda}$具有混合二阶张量的特征。
证明:
$$\begin{aligned}\nabla_{\mu}^{\prime}\phi^{\prime\lambda}&=\partial_{\mu}^{\prime}\phi^{\prime\lambda}+\Gamma_{\mu\nu}^{\prime\lambda}\phi^{\prime\nu}\\&=\overline{A}_{\mu}^{\alpha}\partial_{\alpha}\left(A_{\gamma}^{\lambda}\phi^{\gamma}\right)+\left(\overline{A}_{\mu}^{\alpha}\overline{A}_{\nu}^{\beta}A_{\gamma}^{\lambda}\Gamma_{\alpha\beta}^{\gamma}+\overline{A}_{\mu}^{\alpha}A_{\beta}^{\lambda}\frac{\partial \overline{A}_{\nu}^{\beta}}{\partial x^{\alpha}}\right)A_{\sigma}^{\nu}\phi^{\sigma}\\&=\overline{A}_{\mu}^{\alpha}\partial_{\alpha}\left(A_{\gamma}^{\lambda}\phi^{\gamma}\right)+\overline{A}_{\mu}^{\alpha}\underline{\overline{A}_{\nu}^{\beta}}A_{\gamma}^{\lambda}\Gamma_{\alpha\beta}^{\gamma}\underline{A_{\sigma}^{\nu}}\phi^{\sigma}+\overline{A}_{\mu}^{\alpha}A_{\beta}^{\lambda}\frac{\partial \overline{A}_{\nu}^{\beta}}{\partial x^{\alpha}}A_{\sigma}^{\nu}\phi^{\sigma}\\&=\overline{A}_{\mu}^{\alpha}\partial_{\alpha}\left(A_{\gamma}^{\lambda}\phi^{\gamma}\right)+\overline{A}_{\mu}^{\alpha}A_{\gamma}^{\lambda}\Gamma_{\alpha\beta}^{\gamma}\delta_{\sigma}^{\beta}\phi^{\sigma}+\overline{A}_{\mu}^{\alpha}A_{\beta}^{\lambda}\partial_{\alpha}\left(\overline{A}_{\nu}^{\beta}\right)A_{\sigma}^{\nu}\phi^{\sigma}\\&=\overline{A}_{\mu}^{\alpha}\partial_{\alpha}\left(A_{\gamma}^{\lambda}\phi^{\gamma}\right)+\overline{A}_{\mu}^{\alpha}A_{\gamma}^{\lambda}\Gamma_{\alpha\beta}^{\gamma}\phi^{\beta}+\overline{A}_{\mu}^{\alpha}\partial_{\alpha}\left(A_{\beta}^{\lambda}\overline{A}_{\nu}^{\beta}\right)A_{\sigma}^{\nu}\phi^{\sigma}-\overline{A}_{\mu}^{\alpha}\overline{A}_{\nu}^{\beta}\partial_{\alpha}\left(A_{\beta}^{\lambda}\right)A_{\sigma}^{\nu}\phi^{\sigma}\\&=\overline{A}_{\mu}^{\alpha}\partial_{\alpha}\left(A_{\gamma}^{\lambda}\phi^{\gamma}\right)+\overline{A}_{\mu}^{\alpha}A_{\gamma}^{\lambda}\Gamma_{\alpha\beta}^{\gamma}\phi^{\beta}+\overline{A}_{\mu}^{\alpha}\partial_{\alpha}\left(\delta_{\nu}^{\lambda}\right)A_{\sigma}^{\nu}\phi^{\sigma}-\overline{A}_{\mu}^{\alpha}\underline{\overline{A}_{\nu}^{\beta}}\partial_{\alpha}\left(A_{\beta}^{\lambda}\right)\underline{A_{\sigma}^{\nu}}\phi^{\sigma}\\&=\overline{A}_{\mu}^{\alpha}\partial_{\alpha}\left(A_{\gamma}^{\lambda}\phi^{\gamma}\right)+\overline{A}_{\mu}^{\alpha}A_{\gamma}^{\lambda}\Gamma_{\alpha\beta}^{\gamma}\phi^{\beta}-\overline{A}_{\mu}^{\alpha}\partial_{\alpha}\left(A_{\beta}^{\lambda}\right)\delta_{\sigma}^{\beta}\phi^{\sigma}\\&=\overline{A}_{\mu}^{\alpha}\partial_{\alpha}\left(A_{\gamma}^{\lambda}\phi^{\gamma}\right)+\overline{A}_{\mu}^{\alpha}A_{\gamma}^{\lambda}\Gamma_{\alpha\beta}^{\gamma}\phi^{\beta}-\overline{A}_{\mu}^{\alpha}\partial_{\alpha}\left(A_{\beta}^{\lambda}\right)\phi^{\beta}\\&=\underline{\overline{A}_{\mu}^{\alpha}\partial_{\alpha}\left(A_{\gamma}^{\lambda}\right)\phi^{\gamma}}+\overline{A}_{\mu}^{\alpha}A_{\gamma}^{\lambda}\partial_{\alpha}\left(\phi^{\gamma}\right)+\overline{A}_{\mu}^{\alpha}A_{\gamma}^{\lambda}\Gamma_{\alpha\beta}^{\gamma}\phi^{\beta}-\underline{\overline{A}_{\mu}^{\alpha}\partial_{\alpha}\left(A_{\beta}^{\lambda}\right)\phi^{\beta}}\\&=\overline{A}_{\mu}^{\alpha}A_{\gamma}^{\lambda}\left(\partial_{\alpha}\phi^{\gamma}+\Gamma_{\alpha\beta}^{\gamma}\phi^{\beta}\right)\\&=\overline{A}_{\mu}^{\alpha}A_{\gamma}^{\lambda}\nabla_{\alpha}\phi^{\gamma}\\\end{aligned}$$
$$~\tag*{$\square$}$$



