登录/注册
质心论坛
物理
数学
化学
生物
搜索记录
登录/注册
物理
数学
化学
生物
Common Modal dialog box title
一道奇怪的代数题
数学
一道奇怪的代数题
洛宇镧
更新于
2025-8-21 14:45:22
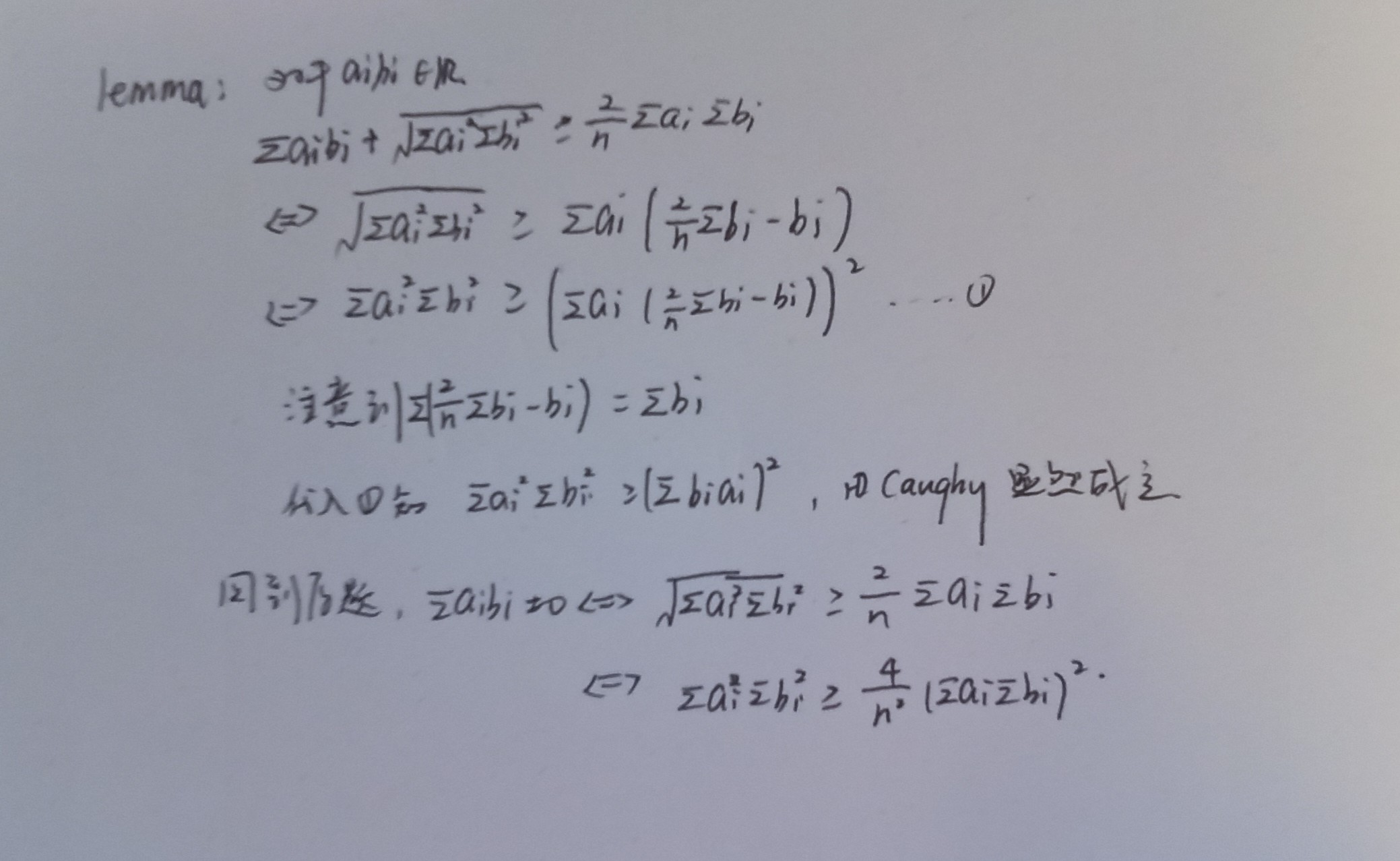
好久没刷代数题了,刚一刷就一个这么离谱的题目😅😅😅真不会,想了蛮久的,主要是那个4不知道怎么用。。。
话说我要不要把这些题全整一个帖子里面去啊?
进行回复
3
分享
0
举报
删除
收起
收起
3
0
分享
举报
进行回复
共0条回复
时间正序
时间正序
时间倒序
评论最多
回复是交流的起点,交流让学竞赛不孤单
提示
登录后才能进行此操作