用户头像
更新于Invalid date
收起
0
共9条回复
时间正序
用户头像
妄想徒手摘星
7月前
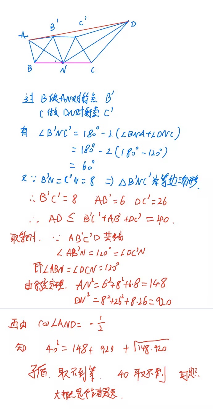
将A D N和C D N分别以A N和D N翻折,然后四点之间线段最短即可
1条评论
用户头像
骆有才
7月前

不好意思能说详细一点吗,没听明白

用户头像
妄想徒手摘星
7月前
三个字

IMG_20250420_112246.jpg

4条评论
用户头像
骆有才
7月前

这个算出来的应该是最大值吧

用户头像
妄想徒手摘星 回复 骆有才
7月前

不是的,这个是用来确定最小值的,这道题观察可以发现是没有max的

用户头像
骆有才 回复 妄想徒手摘星
7月前

三条小线段大于等于第四条大线段,三条小线段的长度是定的,就是大线段小于等于一个值,那求的不就是大线段的最大值吗

用户头像
妄想徒手摘星 回复 骆有才
7月前

你说的有道理,我想了想,这道题可能出错了,求的不是min,而是max

用户头像
一许齐安
7月前

73f122a1d2c4765b9886cdc98e674c72.jpg甚至我的佬同事跑了一下代码,最大值大概是39.4左右,说明你要么当成解析几何去算,要么认为他是个几何中的错题,至于改成一道好题改改数值就行也许.

1条评论
用户头像
骆有才
7月前

牢刘牢刘可是这题是要求最小值啊

用户头像
春才(爱看帅哥版
7月前
。。。
1条评论
用户头像
骆有才
7月前

春才教教我这道题怎么做

用户头像
故乡名钺
7月前
$$$$

IMG_20250501_112934.jpg

1条评论
用户头像
骆有才
7月前

我懂了,谢谢你

用户头像
春才(爱看帅哥版
6月前
直接求根公式不就行了😅😅😅
用户头像
wlw淝雾
6月前
那你什么时候lal取最大值
2条评论
用户头像
骆有才
6月前

什么意思,是问我的做法吗,我是想b等于c等于0的时候取到最大值

用户头像
春才(爱看帅哥版 回复 骆有才
6月前

方法有漏洞,第一项也含有a,个人认为,主原法,在求根公式,没事你不信也没关系😶😶😶

用户头像
跳投美如画
6月前

老罗是不是写错了,罗老师

@一许齐安

Screenshot_2025-06-14-18-42-05-023.jpg

1条评论
用户头像
骆有才
6月前


老罗好像是写错了,明天课上跟牢刘说吧,牢刘今天刚开完讲座应该不会上坛

用户头像
妄想徒手摘星
6月前
我回答一下之前的问题,这个是求的是max是因为四边形的任意三边之和大于第四边(可利用三边关系证明),然后四点共线取max
2条评论
用户头像
爱5汉的数物(幸福健康)
6月前

这次的O-box羟基就有这个题

用户头像
妄想徒手摘星 回复 爱5汉的数物(幸福健康)
6月前

是滴是滴