质 物理 积分术法(Oλοκλήρωση Μαγεία)原典(卷四)
积分术法(Oλοκλήρωση Μαγεία)原典
自由基注:2025.5.3,我对积分术法进行了修订,修改了一些无法显示的错误内容。

零、写在正文前的话
本书是积分术法(Oλοκλήρωση Μαγεία)的原典。本原典是由活性自由基(AFR,英语全名Active Free Radical,希腊语名δραστικός ελεύθερος ρίζα)汇总历代大师在积分方面的50项研究成果而成的。原典的原文由希腊语撰写,并由ἄπειρον学派成员37(英文全名Thirty-Seven,希腊语名Τριάντα-Επτά)译成汉语。
本卷是原典的第三卷,收录了第十一,十二章,第三十到三十二种积分术法。
十一、奇异积分术法
不合群的奇点会被踢出积分域。
(三十)$\text{Cauchy}$主值积分术
1.原理:($\text{Cauchy}$三杀)这是本典中第十二个高级术法。
$\text{Cauchy}$主值是处理奇异积分的重要概念,也是奇异积分算子理论不可绕过的一部分。对于积分
$$\int_{a}^{b}f(x)dx$$
当函数$f(x)$在区间$[a,b]$内某点$c$处存在奇点(使得函数在此点无界等情况)时,常规积分可能不存在。若$c\in(a,b)$是奇点,$\text{Cauchy}$主值
$$\text{p.v.}\int_{a}^{b}f(x)dx$$
定义为$$\lim_{\epsilon \to 0^{+}}[\int_{a}^{c - \epsilon}f(x)dx + \int_{c + \epsilon}^{b}f(x)dx]$$
其避开了奇点处直接积分的困境,为研究奇异积分处理提供了有效的途径。
2.示例:考虑积分
$$\int_{-1}^{1}\frac{1}{x}dx$$
$x = 0$是函数$f(x)=\frac{1}{x}$的奇点。按照柯西主值的计算方法,
$$\text{p.v.}\int_{-1}^{1}\frac{1}{x}dx = \lim_{\epsilon \to 0^{+}}[\int_{-1}^{-\epsilon}\frac{1}{x}dx + \int_{\epsilon}^{1}\frac{1}{x}dx]$$
计算可得
$$\lim_{\epsilon \to 0^{+}}[\ln \epsilon - \ln 1 + \ln 1 - \ln \epsilon]=0$$
(三十一)$\text{Hadamard}$有限部分积分术
1.原理:这是本典中第十三个高级术法。
本术法由解析数论和分析学大师$\text{Jacques Solomon Hadamard}$开发。
$\text{Hadamard}$有限部分积分术是处理含强奇异积分的一种重要术法,当积分
$$\int_{a}^{b}f(x)dx$$
中的被积函数$f(x)$在积分区间$[a,b]$内某点$c$处存在强奇点(即函数在该点附近的无界性更为剧烈,导致常规积分与柯西主值积分方法失效)时,$\text{Hadamard}$有限部分积分术定义为:
设$f(x)$在$[a,b]$上除$x = c\in(a,b)$外连续,且在$x = c$附近具有形如$\frac{g(x)}{(x - c)^n}$,($n\gt1$,$g(x)$在$c$点邻域连续且$g(c)\neq0$)的强奇异性。将积分
$$\int_{a}^{b}f(x)dx$$
在奇点$c$附近进行处理(如$\text{Taylor}$展开),然后对展开式进行积分运算,舍弃掉其中发散的部分,剩余的有限部分就定义为$\text{Hadamard}$有限部分积分,记为
$$\text{f.p.}\int_{a}^{b}f(x)dx$$
这种术法通过对积分进行特殊的解析延拓处理,巧妙地将原积分分解为一个有限部分和一个发散部分,以此来处理强奇异积分问题。
2.示例:考虑积分
$$\int_{0}^{1}\frac{1}{x^{2}}dx$$
$x = 0$是函数$f(x)=\frac{1}{x^{2}}$的强奇点。按照$\text{Hadamard}$有限部分积分术,我们先对积分进行处理。设
$$I(\epsilon)=\int_{\epsilon}^{1}\frac{1}{x^{2}}dx$$
计算可得
$$I(\epsilon)=-1+\frac{1}{\epsilon}$$
在这里,$\frac{1}{\epsilon}$是随着$\epsilon\to0$ 而发散的部分,而有限部分为$-1)$,所以该积分的$\text{Hadamard}$有限部分积分的值为$-1$ ,即
$$\text{f.p.}\int_{0}^{1}\frac{1}{x^{2}}dx = -1$$
十二、实变积分估计术法
现在才是真正的数学嘛。
(三十二)$\text{Hardy-Littlewood}$极大函数积分术
1.原理:
$\text{Hardy-Littlewood}$极大函数是调和分析中的重要概念,由两位数论和分析学大师$\text{Godfrey Hardy}$和$\text{John Edensor Littlewood}$共同提出。
本典中第十四个高级术法。
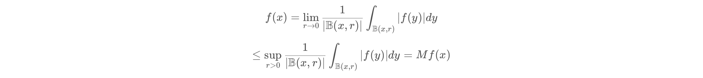
设$f(x)$是$\mathbb{R}^n$上的局部可积函数,即$f\in L^1_{\text{loc}}(\mathbb{R}^n)$,$\text{Hardy-Littlewood}$极大函数$Mf(x)$定义为

其中$\mathbb{B}(x,r)$是以$x$为中心,$r$为半径的球,$|\mathbb{B}(x,r)|$表示球$\mathbb{B}(x,r)$的体积(或测度)。
定义表明,$Mf(x)$是通过对$f(x)$在以$x$为中心的不同半径的球上的积分取平均的上确界得到的。
$Mf(x)$具有许多优良性质。除基本性质(非负,齐次,单调)之外,有如下性质:
·弱$(1,1)$型性
$Mf(x)$是弱$(1,1)$型。即$Mf(x)$满足,存在常数$C$大于零使得对于任意$\lambda$大于零,$f\in L^1(\mathbb{R}^n)$,有

$\text{Leb}$表示$\text{Lebesgue}$测度。
这是$\text{Hardy-Littlewood}$极大函数最重要的性质没有之一。几乎所有关于$\text{Hardy-Littlewood}$极大函数的不等式都是用这条性质推导的。
这条性质可以使用$\text{Vitali}$覆盖引理证明。证明过程已经超出本典范围,有兴趣者可以自行查询。
· $L^p$有界性
对于$1<p\leq\infty$,如果$f\in L^p(\mathbb{R}^n)$则$Mf\in L^p(\mathbb{R}^n)$,且$Mf$是$L^p(\mathbb{R}^n)$到$L^p(\mathbb{R}^n)$有界的,即存在常数$C_p>0$使不等式
$$\|Mf\|_{L^p}\leq C_p\|f\|_{L^p}$$
恒成立。
这条性质也非常重要。这表明$\text{Hardy-Littlewood}$极大函数本质上是$L^p(\mathbb{R}^n)$上的有界算子
$$M: L^p(\mathbb{R}^n)\rightarrow L^p(\mathbb{R}^n)$$
该性质可以由弱$(1,1)$型不等式和$\text{Marcinkiewicz}$插值,或使用$\text{Calderón-Zygmund}$分解证明,这里一样不演示。
·下半连续性
$Mf$是下半连续的。即对于$\forall\lambda\in \mathbb{R}$,集合

是开的。
这个性质还蛮好证的,可以试着证明一下。
·卷积性
不等式

对于所有满足全局归一性
$$\int_{\mathbb{R}^n}\varphi(x)dx=1$$
的$\varphi\in L^1(\mathbb{R}^n)$成立。
这个就别管怎么证明了,不好证。
·几乎处处逐点控制性
对于$\forall f\in L^1_{\text{loc}}(\mathbb{R}^n)$,
$$|f(x)|\leq Mf(x)$$
几乎处处成立。
这就告诉我们为什么它叫“极大函数”。
这条性质是非常好证明的:

证毕。
2.示例:试证$\text{Hardy-Littlewood-Sobolev}$不等式($\text{HLS}$不等式):
$$\|I_\alpha f\|_{L^q} \leq C\|f\|_{L^p}$$
其中$f\in L^p(\mathbb{R}^n)$,$\frac{1}{q} = \frac{1}{p} - \frac{\alpha}{n}$,$I_\alpha$是$\text{Risez}$位势,定义为
$$I_\alpha f(x) = \int_{\mathbb{R}^n} \frac{f(y)}{|x-y|^{n-\alpha}}dy$$
将$I_\alpha f$分解为两部分:

其中$R > 0$是一个待定的参数。
对于$|x-y| \leq R$,利用$\text{Hardy-Littlewood}$极大函数的定义:
在每一层$2^{-k-1}R$小于$|x-y|$小于等于$2^{-k}R$,有
$$\frac{1}{|x-y|^{n-\alpha}} \leq \frac{1}{(2^{-k-1}R)^{n-\alpha}}$$
因此:
$$\int_{|x-y| \leq R} \frac{|f(y)|}{|x-y|^{n-\alpha}} \, dy \leq C \sum_{k=0}^\infty (2^{-k}R)^{\alpha} \cdot \frac{1}{|B_{2^{-k}R}(x)|} \int_{B_{2^{-k}R}(x)} |f(y)| \, dy$$
进一步估计为:
$$\int_{|x-y| \leq R} \frac{|f(y)|}{|x-y|^{n-\alpha}} \, dy \leq C R^\alpha Mf(x)$$
对于$|x-y|$大于$R$,利用$\text{Hölder}$不等式:

其中$p' = \frac{p}{p-1}$是$p$的共轭指数。计算第二个积分:
$$\int_{|x-y| > R} \frac{1}{|x-y|^{(n-\alpha)p'}}dy = C R^{n - (n-\alpha)p'}$$
因此:

则有
$$|I_\alpha f(x)| \leq C \left( R^\alpha Mf(x) + \|f\|_{L^p} R^{\alpha - \frac{n}{p}} \right)$$
选择$R$使得两项平衡,即:
$$R^\alpha Mf(x) = \|f\|_{L^p} R^{\alpha - \frac{n}{p}}$$
解得:
$$R = \left( \frac{\|f\|_{L^p}}{Mf(x)} \right)^{\frac{p}{n}}$$
代入后得到:
$$|I_\alpha f(x)| \leq C \left( Mf(x) \right)^{1 - \frac{\alpha p}{n}} \|f\|_{L^p}^{\frac{\alpha p}{n}}$$
根据定$\frac{1}{q} = \frac{1}{p} - \frac{\alpha}{n}$,有:
$$\|I_\alpha f\|_{L^q} \leq C \|f\|_{L^p}$$
证毕。
十三、结语
本典到这里就结束了。但我希望读者对积分的研究到这里不会结束。我们仍然有很多问题没有解决,比如,正切函数和正割函数是否存在万能代换术?奇异积分是否存在不剔除奇点的解决方式?甚至读者可以深入分析学,解决诸如非光滑核奇异积分,加权积分估计等深奥难题。我们的旅行才刚到起点。
最后,感谢你的阅读。
谢谢。
(卷四完)