登录/注册
质心论坛
物理
数学
化学
生物
搜索记录
登录/注册
物理
数学
化学
生物
Common Modal dialog box title
E的大脑已萎缩
数学
E的大脑已萎缩
もうりらん二哥化学
更新于
2025-1-15 05:22:00
查看题目
查看题目
该题目暂时无法查看
@天贶
麻烦看一眼
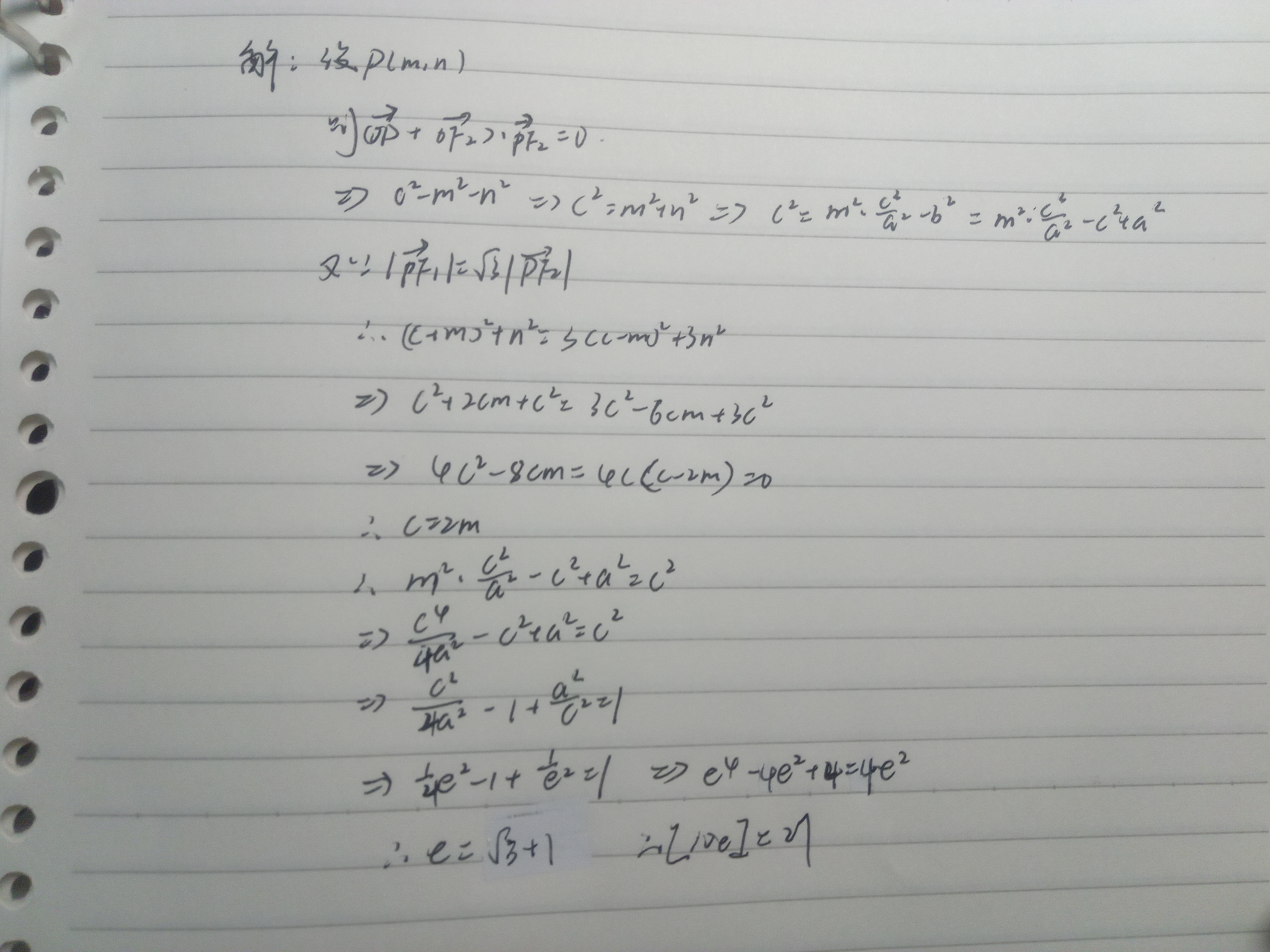
解析几何-综合习题-题目 ID15001643
综合习题
解析几何
查看题目
查看题目
该题目暂时无法查看
进行回复
8
分享
2
举报
删除
收起
收起
8
2
分享
举报
进行回复
共2条回复
时间正序
时间正序
时间倒序
评论最多
天贶
1年前
2024-12-18 12:48:33
算即可
5
1条评论
收起评论
举报
删除
1条评论
评论
もうりらん二哥化学
12月前
2024-12-19 12:45:45
有实力 mol
3
评论
举报
删除
1
天贶
12月前
2025-1-15 10:42:57
我白天在学校上课捏,现在才回来
7
1条评论
收起评论
举报
删除
1条评论
评论
もうりらん二哥化学
12月前
2025-1-18 09:20:50
我更晚💦谢!
3
评论
举报
删除
1
提示
登录后才能进行此操作