2022年微积分导论第四讲问题帖

物理
2022年微积分导论第四讲问题帖

用户头像
小哈兰德 更新于2025-3-22 06:55:37

佬们好~~

今天的问题可能要麻烦大家啦~

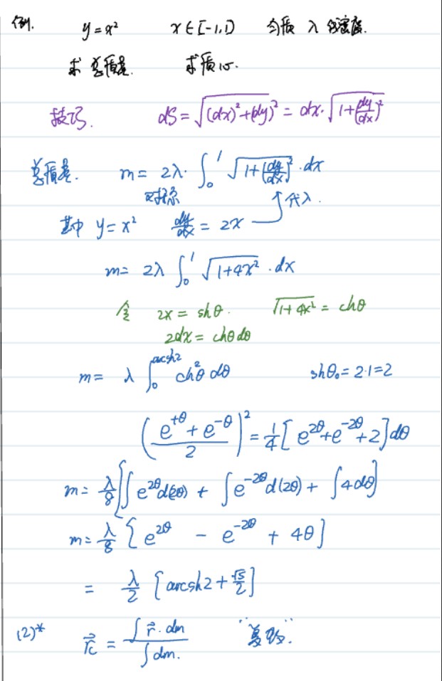
1.反双曲余弦函数的写法是什么?我一直用的arsh,月月鸟写的是arcsh,哪个对还是两个都对啊?

2.月月鸟写的答案有没有错啊😯我感觉后面一个✔5/2应该是2✔5(报歉不会打根号zx-caizixing2@2x

3可以帮我看一下我的过程有错吗?错了的话帮我这个蒟蒻指一下呗(工作量有点大,因为我把每一小步都拆开来写了,万分感谢帮忙解答的佬jj-bixin😘

这是月月鸟的过程


IMG_20240829_183255_454.JPG

这是我的(忽略字丑😅第一次学,写的比较烦,可以包容一下吗😋

IMG_20240829_183503_724.jpg

微积分初步
微积分初步
收起
7
0
共7条回复
时间正序
用户头像
小哈兰德
1年前

为什么为什么发题目互答区没人回啊zx-tangpeng1@2x 论坛怎么了(呜呜呜~ @几个大佬,打扰一下,对不起 @Zachariah@定语从句(蒟蒻)@爱数物的5汉@5汉爱学习@仿生太子会梦见电子彩虹桥吗?发题目互答区没人回啊zx-tangpeng1@2x

论坛怎么了(呜呜呜~

@几个大佬,打扰一下,对不起

@Zachariah@定语从句(蒟蒻)@爱数物的5汉@5汉爱学习@仿生太子会梦见电子彩虹桥吗?

1条评论
用户头像
小哈兰德
1年前

@在斯卡布罗集市@水是剧毒的@忆休(@不出来了😅

用户头像
一职
1年前

1,一般来说都是用arsh,反三角是arc,月月鸟此处应该是手误,正式的写法是arcsinh,缩写是arsh

2,这个我试试看,但不包会,你可以尝试跟着月月鸟的思路一步一步校对过来

用户头像
在斯卡布罗集市
1年前
用casio算过了,你是对的
用户头像
爱数物的5汉/焓Enthalpy
1年前

一般是$\text{arsh}$,,反三角符号就是$\text{arc}$,反正弦正式写法是$\text{arcsinh}$月月鸟笔误了?


1条评论
用户头像
一职
1年前

是反双曲正弦吧?


怎么咱俩回复这么像zx-caizixing2@2x

用户头像
小哈兰德
1年前

谢谢大佬zx-sunpeng2@2x

1条评论
用户头像
爱数物的5汉/焓Enthalpy
1年前

哎呀我刚算完

你对了好像,我算是$\dfrac{\lamda}{2}\begin{pmatrix}\text{arsh(2)}+2\sqrt{5}\end{pmatrix}$展开就是你的答案了

用户头像
爱数物的5汉/焓Enthalpy
1年前

手残打错

你对了好像,我算得也是$\dfrac{\lambda}{2}\begin{pmatrix}\text{arcsinh(2)}+2\sqrt{5}\end{pmatrix}$展开来就是了吧......

1条评论
用户头像
小哈兰德
1年前

谢谢啦~jj-bixin

用户头像
一职
1年前

写一半被抓去听课了。。。

这里完全不用这么麻烦,到了e的代入那可以用arsh(x)=ln(x+(根号下x^2+1)),e和ln直接消,答案就出来了,你是对的

1条评论
用户头像
小哈兰德
1年前

OK谢谢(刚碰微积分,感觉自己像飞舞😂