氮及其氧化物计算题答疑

化学
氮及其氧化物计算题答疑

用户头像
用户头像
雾净天泽 更新于2024-8-14 10:58:44

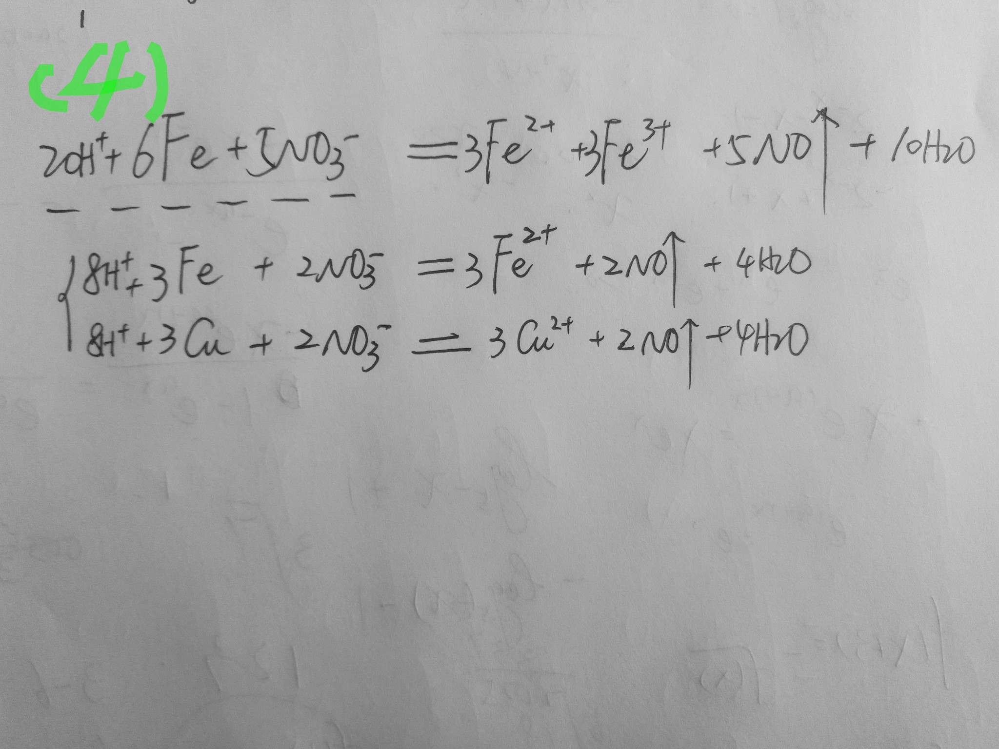
像这样这种经典的氧化还原计算,全部都用到了ⅹx守恒,我们老师说只能用电子得失法(即"跨过氮氧化物,金属失的电子都等于氧气的电子″之类的),不能用方程式法通过计算做出来(迄今为止他还没见过能如此的)

像下面我这样写方程式(第2题也是一样),这些计算到底能不能做出来呀?如果能做出来,麻烦大佬给个详细的过程,解一下惑zx-sunpeng1@2x


IMG_20240814_185541_903.jpg

IMG_20240814_185640_417.jpg


收起
1
0
共1条回复
时间正序
用户头像
用户头像
暮雨_晨星
1年前

首先铁肯定要到三价,再者硝酸浓度高的话出的是NO2

没纸笔,只能做到这样