洛仑兹变换

物理
洛仑兹变换

用户头像
N,N-二甲基-4-氨基吡啶 更新于2025-8-4 13:51:16

废帖再利用

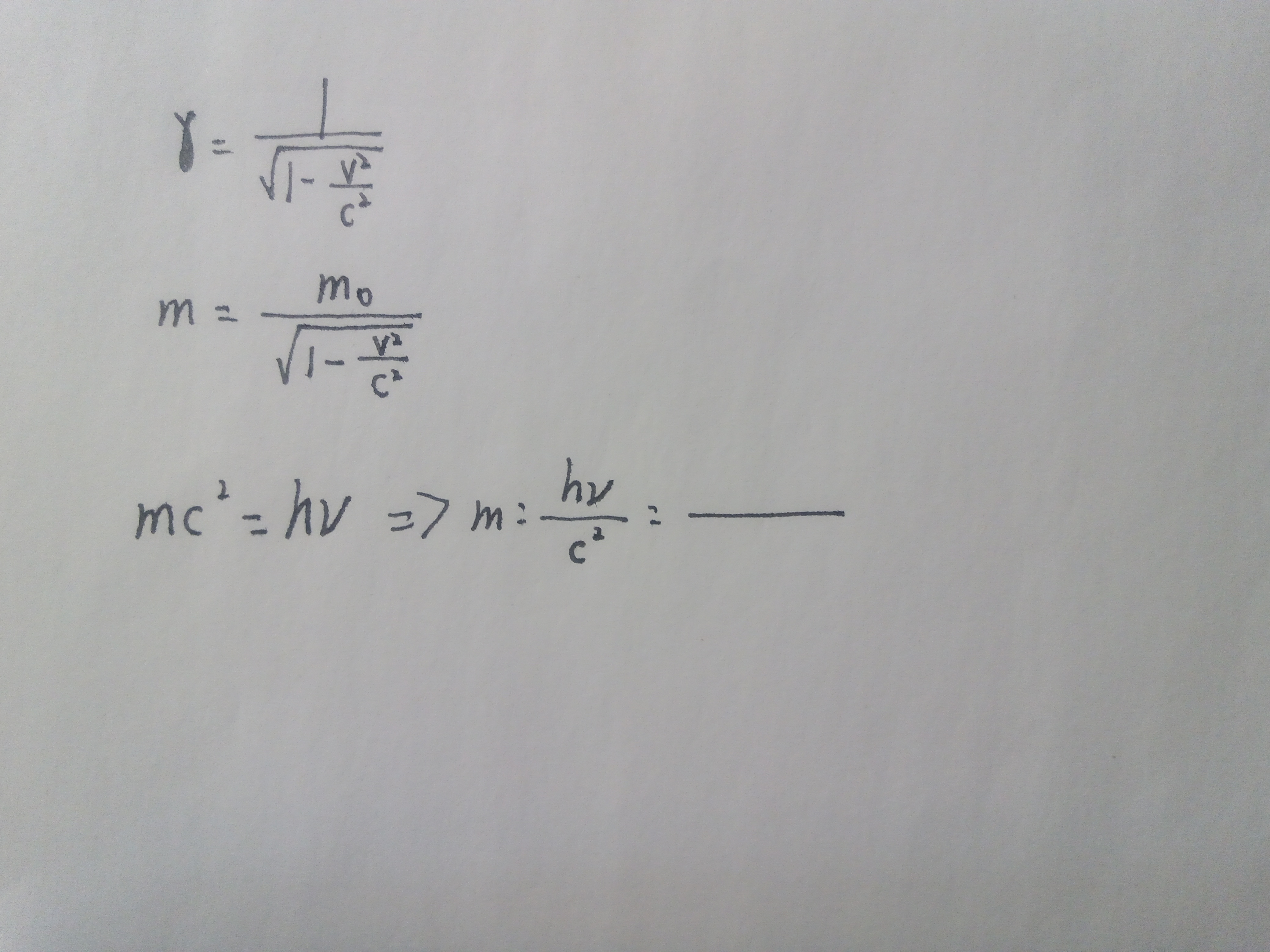
光子是没有静止质量的,不能用洛伦兹变换算动质量

但是我却算出了这么一个质量,这到底是什么?


IMG_20250211_203731_884.jpg

收起
8
0
共3条回复
时间正序
用户头像
听风吟
1年前

洛伦兹变换是先有Lorentz根据实验数据用函数拟合出来 但他不知原因

但是由爱因斯坦创立狭义相对论体系证明的

用户头像
用户头像
三等分的伊文斯
1年前

假设他们两个之间需要乘上一个系数k,你在某个坐标系的原点中放一个点光源,他会向四面辐射形成一个光球。

具体推导可以看孙鹏老师2023年的一轮课近代物理第一讲。

也可以直接四维矢量

2条评论
用户头像
用户头像
三等分的伊文斯
1年前

要用两个基本假设:光速不变和物理定律对于任何惯性系相同。

还有一种方法可以在空间各项同性和均匀的基础上推出来

@一个听K-391的物竞牲那个帖子你看了吗awa

用户头像
一个听AW的物竞牲 回复 三等分的伊文斯
1年前

看了,但是我被帖主带偏了()

用户头像
N,N-二甲基-4-氨基吡啶
10月前
顶一下,这个问题不算水吧?
3条评论
用户头像
森夏
10月前

这就是动质量

用户头像
N,N-二甲基-4-氨基吡啶 回复 森夏
10月前

那是不是说,0/0是一个不可控的数?可能为任意实数或正负无穷?

用户头像
森夏 回复 N,N-二甲基-4-氨基吡啶
10月前

是的,看具体情况分析