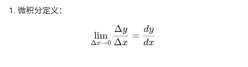
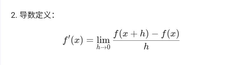
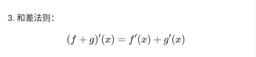
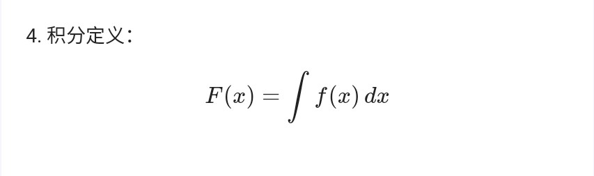
物理 部分公式小结
谢谢支持
1. 热力学第一定律:$ΔU = Q - W$
2. 热力学第二定律:$ΔS ≥ 0$
3. 理想气体状态方程:$PV = nRT$
4. 等温过程熵变公式:$ΔS = Q/T$
5. 等压过程熵变公式:$ΔS = nC_p ln(T2/T1)$
6. 等体过程熵变公式:$ΔS = nC_v ln(T2/T1)$
7. 平衡态条件:$∂S/∂U = 1/T$
8. 热机效率:$η = 1 - T_cold/T_hot$
9. 热传导定律:$Q = kAΔT/x$$
10. 斯特藩-玻尔兹曼定律:$Q = εσAT^4$
12. 绝对零度:$T = -273.15°C = 0K$
13. 热功当量:$1cal = 4.184J$
14. 相变潜热公式:$Q = m*L$
15. 热力学温度公式:$1/T2 - 1/T1 = (S2 - S1)/C_p$
16. 热传导的傅立叶定律:$Q/Δt = -kA(ΔT/Δx)$
1. 库仑定律:$F = k * (|q1*q2|) / r^2$
2. 电场强度与电势差关系:$E = -dV/dr$
3. 电势能公式:$U = qV$
4. 电场与电势关系:$E = -∇V$
5. 电容公式:$C = Q/V$
6. 平行板电容器的电容:$C = εA/d$
7. 电流与电荷关系:$I = ΔQ/Δt$
8. 电压与电流关系:$V = IR$
9. 欧姆定律:$V = I*R$
10. 磁场中的洛伦兹力:$F = qvBsinθ$
11. 洛伦兹力公式:$F = q(E + vB)$
12. 磁场中的回路电流磁力:$F = IlBsinθ$
13. 磁感应强度与磁通量关系:$Φ = B * A * cos(θ)$
14. 磁场中的安培定律:$∮B·dl = μ0I$
15. 磁场中的法拉第电磁感应定律:$ε = -dΦ/dt$
16. 对电路所用能量公式:$E = VIt$
17. 曼恩定律:$B = μ0 * (n * I) / L$
1. 牛顿第二定律:$F=ma$
2. 动能公式:$K = 0.5 * m * v^2$
3. 动量定理:$FΔt = Δp$
4. 万有引力定律:$F = G * (m1 * m2) / r^2$
5. 势能公式:$U = mgh$
6. 圆周运动的向心力:$F = mv^2/r$
7. 渐开线运动的加速度:$a = v^2/r$
8. 滑石运动的加速度:$a = g*sin(θ)$
9. 弹簧振子的振动周期:$T = 2π*√(m/k)$
10. 勾股定理:$a^2 + b^2 = c^2$
11. 阿基米德原理:$F_b = ρ * V * g$
12. 斯托克斯定律:$F = 6πηrv$
13. 库仑定律:$F = k * (|q1*q2|) / r^2$
14. 泰勒公式:$f(x) = f(a) + f'(a)(x-a) + f''(a)(x-a)^2/2 + ...$
15. 布拉格方程:$nλ = 2dsinθ$
16. 高斯定律:$∮E·dA = Q/ε$
17. 刚体转动惯量:$I = ∫r^2 dm$
18. 角动量定理:$τ = Iα$
19. 波速公式:$v = λf$
20. 牛顿第一定律:$ΣF = 0$
21. 弹性碰撞动能守恒定律:$K_1 + K_2 = K'_1 + K'_2$
22. 摩擦力公式:$f = μN$
23. 热力学第一定律:$ΔU = Q - W$
24. 热力学第二定律:$ΔS ≥ 0$
25. 斯内尔定律:$n1sinθ1 = n2sinθ2$
26. 马格努斯效应公式:$F_m = ρvLΓ$
27. 迈克尔逊-莫雷实验光速不变原理:$c = √(1/με)$
28. 动态平衡:$ΣF = 0 and Στ = 0$
29. 马车定理:$F = ma$
30. 波的相速度与群速度关系:$v_g = v_p - λ(dv_p/dλ)$
1. 相对论能量-动量关系$E^2 = (pc)^2 + (mc^2)^2$
2. 狭义相对论速度叠加公式$v' = (v + u) / (1 + (vu/c^2))$
3. 狭义相对论长度收缩公式$L' = L * sqrt(1 - (v^2/c^2))$
4. 狭义相对论时间膨胀公式$t' = t / sqrt(1 - (v^2/c^2))$
5. 狭义相对论质能关系$E = mc^2/ sqrt(1 - (v^2/c^2))$
1. de Broglie波长公式 $λ = h / p$
2. Heisenberg不确定性原理 $Δx * Δp ≥ h / 2π$
3. 薛定谔方程 $iħ ∂Ψ/∂t = - ħ^2/2m ∇^2 Ψ + VΨ$
4. 时间非守恒性 $[H, E] = iћ$
5. Schrödinger方程 $iћ ∂Ψ/∂t = -ћ^2/2m ∇^2 Ψ + VΨ$
6. Pauli的旋量方程 $(σ · p)Ψ = mΨ$
7. 基态能量的氢原子波函数 $E = -13.6 eV / n^2$
8. 动能与动量之间的关系 $E^2 = (pc)^2 + (m0c^2)^2$
9. 裸质子的Compton波长 $λ = h / (mc)$
10. 角动量算符的对易关系 $[Lx, Ly] = iћ$
11. 角动量取向的平方和总角动量平方的取向和 $L^2Ψ = l(l+1)ћ^2Ψ$
12. 波函数的归一化条件 $∫|Ψ|^2 dV = 1$
13. 薛定谔方程的平面波解 $Ψ(x, t) = Ae^(i(kx - ωt))$
14. 泡利不相容原理 总泡利不相容性数 = $n1 + n2 + n3 + ...$
15. 自旋角动量的取向 $S^2Ψ = s(s+1)ћ^2Ψ$
16. 定域性原理 $Ψ(r, t) = Σn CnΨn(r, t)$
18. 粒子在无限深势阱内的能级 $En = n^2h^2 / (8mL^2)$
19. 所有势能与动能的关系 $H = T + V$
20. 波函数的时间演化 $Ψ(x, t) = Ψ(x, 0) e^(-iEt/ħ)$
1. 三角函数公式:$sin^2(x) + cos^2(x) =1$
2. 对数公式:$log(ab) = log(a) + log(b)$
3. 指数公式:$a^0 = 1$
4. 二次方程根的公式: $x = (-b ± √ (b^2 - 4ac)) / 2a$
5. 直角三角形三边关系:$a^2 + b^2 = c^2$
6. 三角函数和角的关系:$sin(α ± β) = sinαcosβ ± cosαsinβ$
7. 初等数学基本定理:任何一个大于 1 的自然数,要么本身是质数,要么可以唯一地分解成质数的乘积
8. 因式分解:$a^2 - b^2 = (a + b)(a - b)$
9. 求和公式:$1 + 2 + 3 + ... + n = n(n+1)/2$
10. 迭代公式:$x_(n+1) = f(x_n)$
11. 求导法则:$(e^x)' = e^x$
12. 平行四边形面积公式:$A = bh$
13. 二项式定理:4(a + b)^n = Σ (C(n, i) * a^(n-i) * b^i)$
14. 椭圆的面积公式:$A = πab$
15. 渐近线方程:$y = mx + c$
16. 最大最小值定理:如果 $f(x)$在闭区间$[a, b]$ 上连续,那么 $f(x)$ 在这个区间上可以取得最大值和最小值
17. 柯西-施瓦茨不等式:$|⟨u, v⟩| ≤ ||u|| ||v||$
18. 泰勒公式:$f(x) = f(a) + f'(a)(x - a) + f''(a)(x - a)^2 / 2! + ... + f^(n)(a)(x - a)^n / n!$
19. 黎曼和:$Σ f(xi)Δxi$,其中 $xi$ 为分割点,$Δxi$ 为分割的长度
20. 向量叉乘公式:$|a × b| = |a||b|sinθ$
宇宙第一速度(也称为逃逸速度)是指一个物体需要具有的速度,才能够克服引力场的束缚,逃离天体表面并进入宇宙空间。在地球上,宇宙第一速度大约是11.2公里/秒。
要推导宇宙第一速度,我们可以使用能量守恒定律和动能定理来进行计算。假设一个物体从地球表面射出,我们可以将其总机械能等于零(为了逃脱地球引力场)。
我们可以使用下面的公式来计算物体的逃逸速度:
总机械能 = 动能 + 势能 = $0$
动能 = $1/2 * m * v^2$
势能 = $-G * (m*M) / r$
其中,$m$是物体的质量,$v$是物体的速度,$G$是引力常数,$M$是地球的质量,$r$是地球的半径。
通过将机械能设置为零,我们可以解出v的值,即逃逸速度的大小。这个过程可以用来推导出地球或其他天体的逃逸速度。最终,我们得到的结论是,逃逸速度取决于天体的质量和半径,以及物体的质量。
三角函数公式:
1. 正弦函数的定义:$sin(θ)$ = 对边/斜边
2. 余弦函数的定义:$cos(θ)$= 邻边/斜边
3. 正切函数的定义:$tan(θ)$ = 对边/邻边
4. 余切函数的定义:$cot(θ)$ = 邻边/对边
5. 正割函数的定义:$sec(θ)$ = 斜边/邻边
6. 余割函数的定义:$csc(θ)$ = 斜边/对边
7. 正弦函数和余弦函数的关系:$sin²(θ) + cos²(θ) = 1$
8. 正切函数和余切函数的关系:$tan(θ) * cot(θ) = 1$
9. 正切函数与正割函数的关系:$1 + tan²(θ) = sec²(θ)$
10. 余切函数与余割函数的关系:$1 + cot²(θ) = csc²(θ)$
11. 任意角的三角函数公式:$sin(-θ) = -sin(θ)$,$cos(-θ) = cos(θ)$,$tan(-θ) = -tan(θ)$,$cot(-θ) = -cot(θ)$,$sec(-θ) = sec(θ)$,$csc(-θ) = -csc(θ)$
12. 同角三角函数的相互关系:$sin(θ) = cos(90° - θ)$,$cos(θ) = sin(90° - θ)$,$tan(θ) = cot(90° - θ)$,$cot(θ) = tan(90° - θ)$
13. 任意角的两倍角公式:$sin(2θ)= 2sin(θ)cos(θ)$,$cos(2θ) = cos²(θ) - sin²(θ)$,$tan(2θ) = 2tan(θ) / (1 - tan²(θ))$
14. 任意角的半角公式:$sin(θ/2)= ±√((1 - cos(θ)) / 2)$,$cos(θ/2) = ±√((1 + cos(θ)) / 2)$,$tan(θ/2) = ±√((1 - cos(θ)) / (1 + cos(θ))$
15. 余切函数的和差化积公式:$tan(α ± β) = (tan(α) ± tan(β)) / (1 ∓ tan(α)tan(β))$
16. 余弦函数的和差化积公式:$cos(α ± β) = cos(α)cos(β) ∓ sin(α)sin(β)$
17. 任意角的倍角公式:$sin(2θ) = 2sin(θ)cos(θ)$,$cos(2θ) = cos²(θ) - sin²(θ)$
18. 任意角的和差化积公式:$sin(α + β) = sin(α)cos(β) + cos(α)sin(β)$,$sin(α - β) = sin(α)cos(β) - cos(α)sin(β)$
19. 任意角的和差化积公式:$cos(α + β) = cos(α)cos(β) - sin(α)sin(β)$,$cos(α - β) = cos(α)cos(β) + sin(α)sin(β)$
1. 常数函数导数公式:$f(x) = c$,导数为$f'(x) = 0$
2. 幂函数导数公式:$f(x) = x^n$,导数为$f'(x) = nx^(n-1)$
3. 指数函数导数公式:$f(x) = e^x$,导数为$f'(x) = e^x$
4. 对数函数导数公式:$f(x) = ln(x)$,导数为$f'(x) = 1/x$
5. 三角函数导数公式:$sin(x)$的导数为$cos(x)$,$cos(x)$的导数为$-sin(x)$,$tan(x)$的导数为$sec^2(x)$
6. 反三角函数导数公式:$arcsin(x)$的导数为$1 / √(1 - x^2)$,$arccos(x)$的导数为$-1 / √(1 - x^2)$,$arctan(x)$的导数为$1 / (1 + x^2)$
7. 和差求导法则:$(f(x) ± g(x))' = f'(x) ± g'(x)$
8. 积分求导法则:$(f(x) * g(x))' = f'(x) * g(x) + f(x) * g'(x)$
9. 商求导法则:$(f(x) / g(x))' = (f'(x) * g(x) - f(x) * g'(x)) / (g(x))^2$
10. 链式法则:若$y = f(g(x))$,则$y' = f'(g(x)) * g'(x)$
1. 常数的极限:$lim(c) = c$,其中 c 是常数
2. 极限的唯一性:如果一个函数 $f(x)$在点 $x = a$处有极限 L,则该极限唯一
3. 无穷大极限:$lim(x→∞) x^n = +∞ 或 -∞$,其中 n 是正整数
4. 夹逼定理:如果函数 $g(x) ≤ f(x) ≤ h(x)$ 在点 x = a 的某个去心邻域内成立,且 $lim(x→a) g(x) = lim(x→a) h(x) = L$ ,则 $lim(x→a) f(x) = L$
5. 函数与常数的极限:$lim(x→a) c = c$,其中 c 是常数
6. 四则运算法则:若 $lim(x→a) f(x) = A$且 $lim(x→a) g(x) = B$,则 $lim(x→a) [f(x) ± g(x)] = A ± B$,$lim(x→a) [f(x) * g(x)] = A * B$,$lim(x→a) [f(x) / g(x)] = A / B$(若 B)不等于0。
7. 复合函数的极限:若 $lim(x→a) g(x) = b$且 $lim(y→b) f(y) = L$,则 $lim(x→a) f(g(x)) = L$
8. 三角函数极限:$lim(x→0) sin(x)/x = 1$,$lim(x→0) (1 - cos(x))/x = 0$
9. 自然对数极限:$lim(x→0) (e^x - 1)/x = 1$
10. 对数函数极限:$lim(x→1) (log_a(x))/(x - 1) = 1/log(a)$,其中 a > 0 且 a ≠ 1
共3条回复
时间正序
















